EasyManua.ls Logo

Korg Krome - 0-7: Tone Adjust

Korg Krome
400 pages
To Next Page IconTo Next Page
To Next Page IconTo Next Page
To Previous Page IconTo Previous Page
To Previous Page IconTo Previous Page
Loading...
PROG P0: Play 0–7: Tone Adjust
7
v
0–5: Menu Command
0: Write Program
p.69
1: Exclusive Solo
p.69
2: Auto Song Setup
p.69
3: Copy Arpeggiator
p.71
(→
p.68
Program: Menu Command
参照)
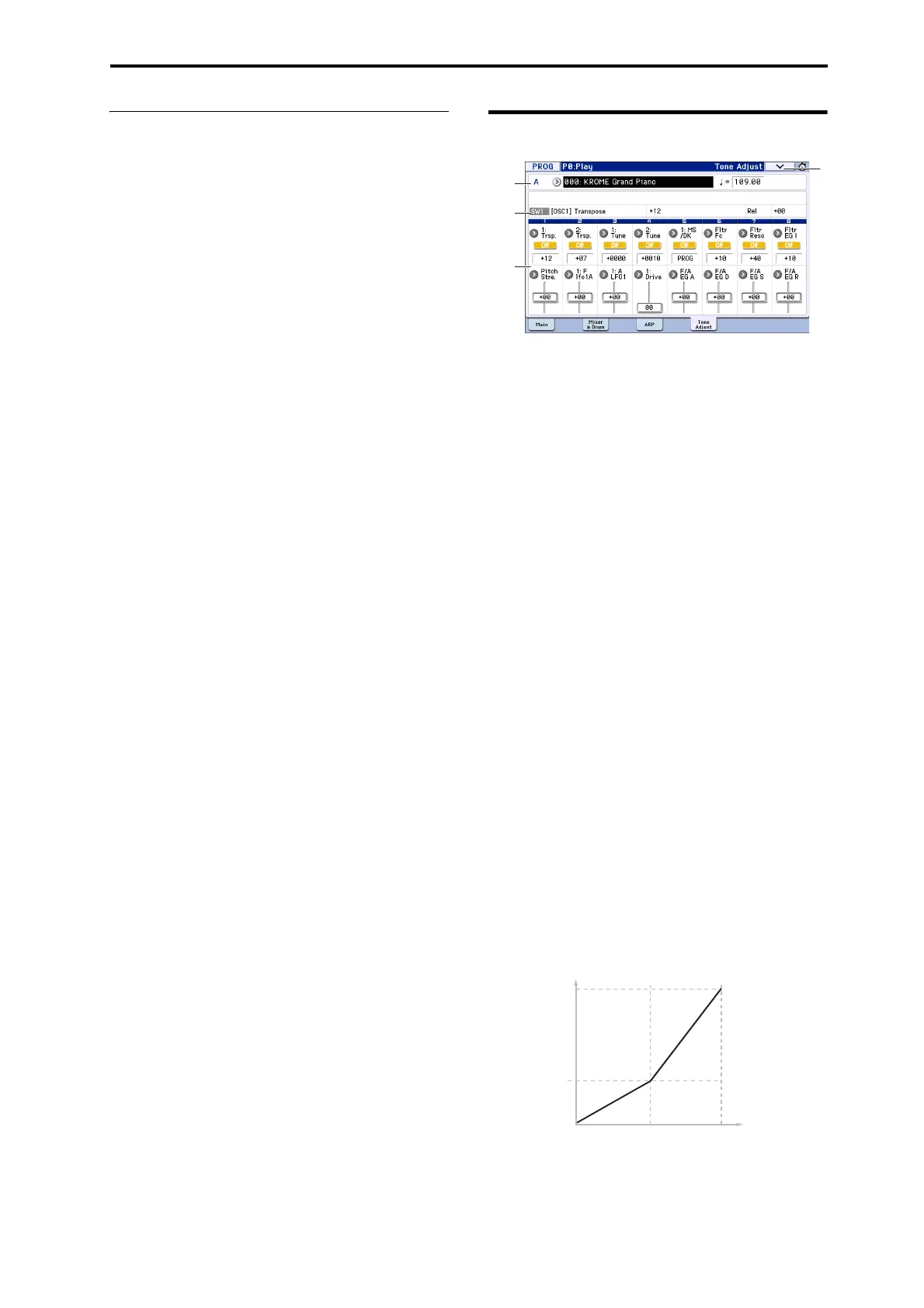
0–7: Tone Adjust
トーンアジャスト機能は、主要なプログラムラメーターや、
簡易エディットパラメーターを割り当て、エディットすること
ができます。
Tips: Combination
Sequencer
モードでもトーンアジャスト
機能を使ってプログラムパラメーターをエディットできます。
オリジナルのプログラムから別バージョンのプログラムを作っ
てそれを保存する、という手間は不要です。これらのモードでの
トーンアジャスト機能については、
p.80
p.123
を参照してくだ
さい。
Absolute (Abs), Relative (Rel), Meta
パラメーター
トーンアジャスト機能には、
Absolute
Relative
Meta
3
種類
のパラメーターがあります。
Absolute:
通常
“[OSC1] Drive”
などのように、
1
つのプログラム
パラメーターをエディットします。プログラムパラメーターと
トーンアジャストパラメーターはお互いを反映します。片方
を変更するとそれがもう片方のパラメーターにも反映されま
す。
Relative: 2 つ以上のプログラムパラメーターを同時に調整
ます。例えば、
“F/A EG Attack Time”
は全部で
6
つのプログラム
パラメーターに影響します
Relative
パラメーターの値は、これ
らの元となるプログラムパラメーターの値への変更量となり
ます。
Relative
パラメーターが(ディスプレイ上のスライダーが中央の
位置で)
0
のとき、対象となるプログラムパラメーターの値は変
化しません。
設定値の大小の意味合いは対象となるパラメーターによって
異なります。特に断わりのない限りは以下が基本となります。
Relative
パラメーターが
+99
(最値)のとき、プログラパラ
メーターもすべて最大値になります同様に
–99(最小値のと
き、プログラムパラメーター
0
になります。
トーン・アジャスト Relative パラメーターの調整
トーンアジャスト
Relative
パラメーターによってコントロール
されるいくつかのプログラムパラメーターはバイポーラです。
それは+値または−値をとることを意味します。
0–7a
0–7b
0–7c
0–7
Menu
99
00
トーントRelativeパーター値
パラメータ
設定値
0–99 +99

Table of Contents

Other manuals for Korg Krome

Related product manuals