EasyManua.ls Logo

Newtec MDM6000 - Noise and Distortion Estimator (Node); How Does Node Work

Newtec MDM6000
325 pages
Print Icon
To Next Page IconTo Next Page
To Next Page IconTo Next Page
To Previous Page IconTo Previous Page
To Previous Page IconTo Previous Page
Loading...
Newtec Proprietary
Confidentiality: Unrestricted
V1.0
283/314
Appendix - Overview of the Used Technologies MDM6000 Satellite Modem
16.2 Noise and Distortion Estimator (Node)
NoDE (Noise & Distortion Estimator) simplifies ground station operation activities and enables an
efficient usage of transponders. NoDE is a unique and innovative tool that simplifies ground station
operation activities by providing a means to monitor the quality of the satellite link. It performs a
continuous and accurate measurement of the noise margin and the amount of non-linear distortion
on the received satellite signal. NoDE allows operators to easily fine tune their satellite links to their
optimal operational point under any circumstances. Regular fine tuning of the satellite link
parameters will increase the efficiency of the transponder and at the same time provide financial
benefits.
In addition, NoDE enables the operator to view the linear and non-linear effects from changes in the
uplink power. It can help to prevent errors in operations such as the addition of too much power and
distortion that could lead to the total loss of the communication links.
NoDE is the perfect tool to provide operators full control over transmission performance when linear
and non-linear distortions are present. It enables higher modulation schemes such as 16APSK and
32 APSK and helps operators to get the most out of their transponder.
16.2.1 How Does Node Work
In digital satellite communications, the energy per symbol related to the noise power spectral density
(Es/No) is an important parameter used to determine the quality of the transmission. The Es/No
measurement at the receiver side needs a certain threshold to ensure an error-free transmission.
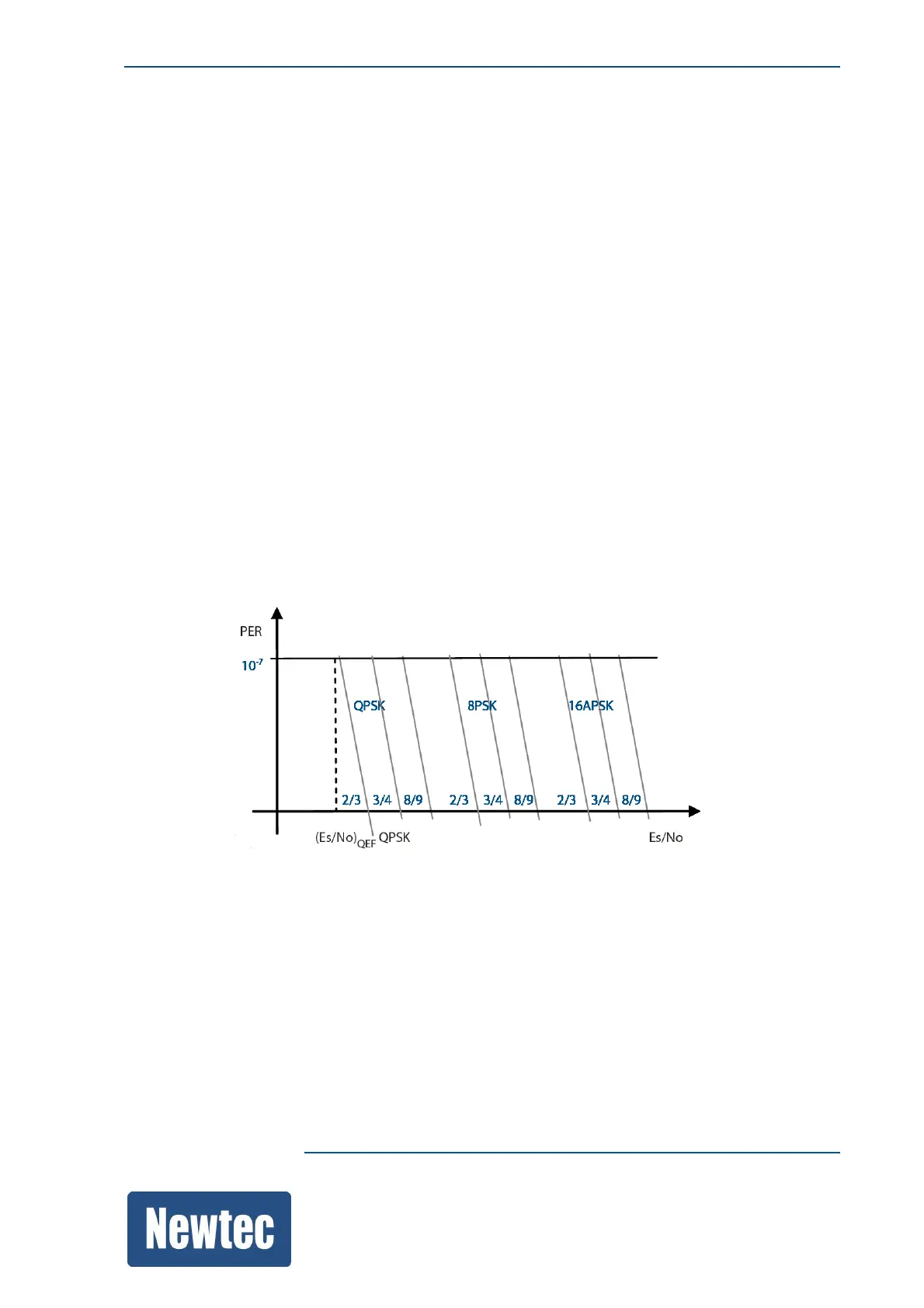
The following figure shows PER versus Es/No.
It is commonly accepted that a transmission is considered as error-free when the PER (Packet Error
Rate) at the reception side is below 10-7. For each DVB-S2 MODCOD, as shown in , a minimum
value (Es/No)QEF guarantees quasi error free transmission.

Table of Contents

Other manuals for Newtec MDM6000

Related product manuals