EasyManua.ls Logo

Acterna SDA-5000 - MER (Modulation Error Ratio)

Acterna SDA-5000
411 pages
Print Icon
To Next Page IconTo Next Page
To Next Page IconTo Next Page
To Previous Page IconTo Previous Page
To Previous Page IconTo Previous Page
Loading...
Specifications
349
B
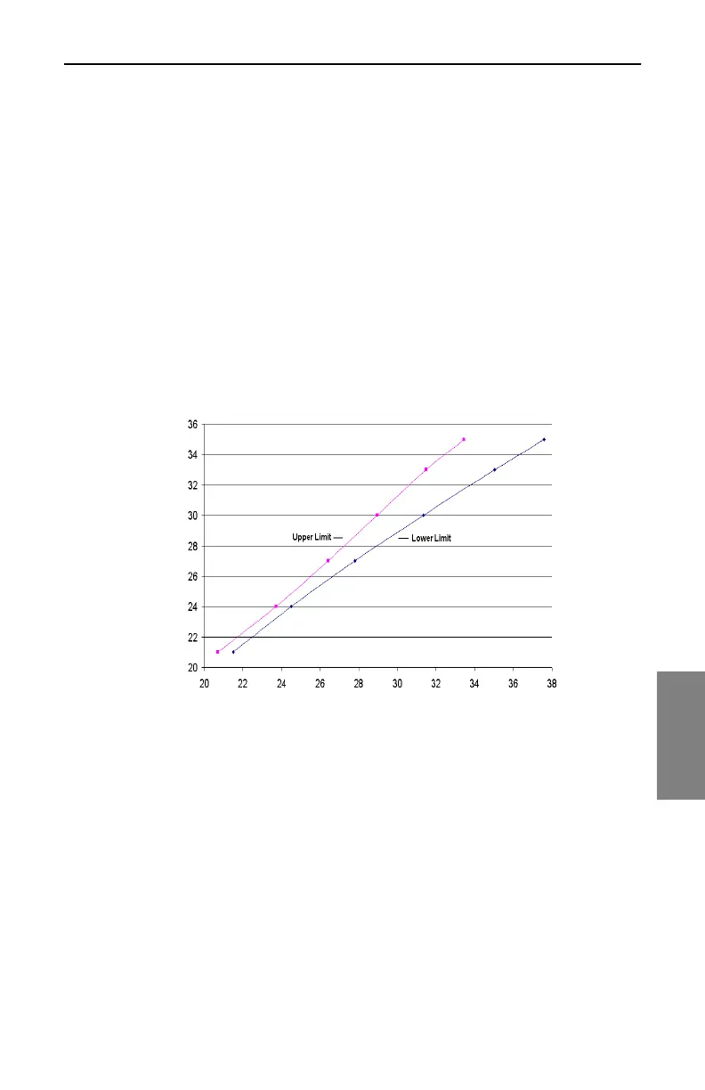
MER (Modulation Error Ratio):
64 QAM / Option 4A: 22-35 dB
Accuracy: ±2.0 dB (typical, see chart below)
64 QAM / Option 4B: 21-35 dB
Accuracy: ±1.5 dB
256 QAM / Option 4A: 28-35 dB
Accuracy: ±2.0 dB (typical, see chart below)
256 QAM / Option 4B: 28-35 dB
Accuracy: ±1.5 dB
MER Accuracy
Worse Case Condition, QAM 64, Annex A, 6.89 MSPS
MER Reading (dB)
Actual MER
(dB)

Table of Contents

Other manuals for Acterna SDA-5000

Related product manuals