EasyManua.ls Logo

Freescale Semiconductor MC68881 - Page 268

Default Icon
409 pages
Print Icon
To Next Page IconTo Next Page
To Next Page IconTo Next Page
To Previous Page IconTo Previous Page
To Previous Page IconTo Previous Page
Loading...
7
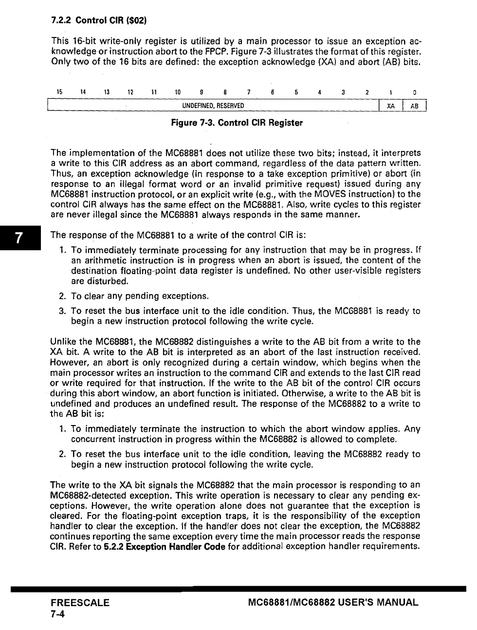
7.2.2 Control ClR ($02)
This 16-bit write-only register is utilized by a main processor to issue an exception ac-
knowledge or instruction abort to the FPCP. Figure 7-3 illustrates the format of this register.
Only two of the 16 bits are defined: the exception acknowledge (XA) and abort (AB) bits.
15 14 13 12 11 10 9 8 7 6 5 4 3 2 1 0
I UNDEFINED, RESERVED I XA I AB i
Figure 7-3. Control ClR Register
The implementation of the MC68881 does not utilize these two bits; instead, it interprets
a write to this CIR address as an abort command, regardless of the data pattern written.
Thus, an exception acknowledge (in response to a take exception primitive) or abort (in
response to an illegal format word or an invalid primitive request) issued during any
MC68881 instruction protocol, or an explicit write (e.g., with the MOVES instruction) to the
control CIR always has the same effect on the MC68881. Also, write cycles to this register
are never illegal since the MC68881 always responds in the same manner.
The response of the MC68881 to a write of the control CIR is:
1. To immediately terminate processing for any instruction that may be in progress. If
an arithmetic instruction is in progress when an abort is issued, the content of the
destination floating-point data register is undefined. No other user-visible registers
are disturbed.
2. To clear any pending exceptions.
3. To reset the bus interface unit to the idle condition. Thus, the MC68881 is ready to
begin a new instruction protocol following the write cycle.
Unlike the MC68881, the MC68882 distinguishes a write to the AB bit from a write to the
XA bit. A write to the AB bit is interpreted as an abort of the last instruction receh,ed.
However, an abort is only recognized during a certain window, which begins when the
main processor writes an instruction to the command CIR and extends to the last CIR read
or write required for that instruction. If the write to the AB bit of the control CIR occurs
during this abort window, an abort function is initiated. Otherwise, a write to the AB bit is
undefined and produces an undefined result. The response of the MC68882 to a write to
the AB bit is:
1. To immediately terminate the instruction to which the abort window applies. Any
concurrent instruction in progress within the MC68882 is allowed to complete.
2. To reset the bus interface unit to the idle condition, leaving the MC68882 ready to
begin a new instruction protocol following the write cycle.
The write to the XA bit signals the MC68882 that the main processor is responding to an
MC68882-detected exception. This write operation is necessary to clear any pending ex-
ceptions. However, the write operation alone does not guarantee that the exception is
cleared. For the floating-point exception traps, it is the responsibility of the exception
handler to clear the exception. If the handler does not clear the exception, the MC68882
continues reporting the same exception every time the main processor reads the response
CIR. Refer to 5.2.2
Exception Handler Code
for additional exception handler requirements.
FREESCALE
7-4
MC68881/MC68882 USER'S MANUAL

Table of Contents

Related product manuals