EasyManua.ls Logo

GE D90 Plus - Page 287

GE D90 Plus
688 pages
Print Icon
To Next Page IconTo Next Page
To Next Page IconTo Next Page
To Previous Page IconTo Previous Page
To Previous Page IconTo Previous Page
Loading...
CHAPTER 7: PROTECTION GROUPED PROTECTION ELEMENTS
D90
PLUS
LINE DISTANCE PROTECTION SYSTEM – INSTRUCTION MANUAL 277
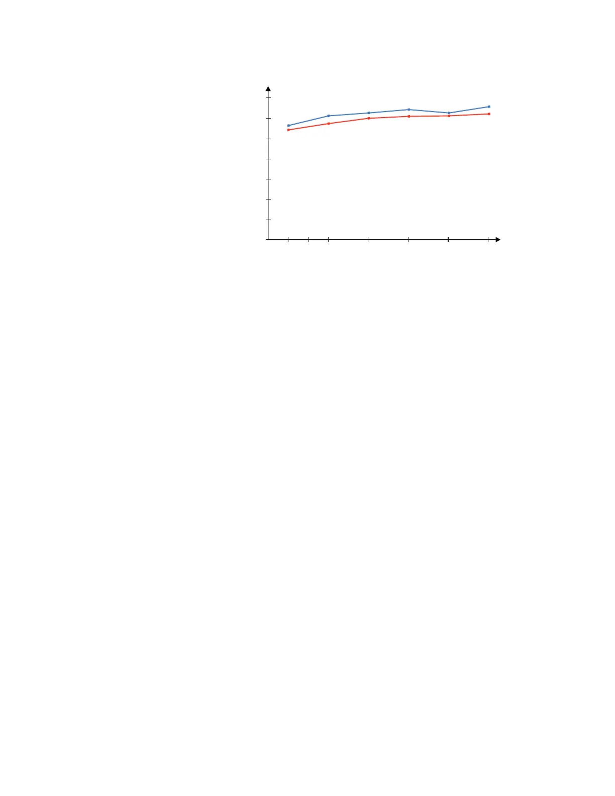
Figure 241: Breaker failure current supervision reset time
Breaker failure initiation stage
A FlexLogic operand representing the protection trip signal initially sent to the breaker
must be selected to initiate the scheme, except if this is already programmed as a trip
output (the protection trip signal does not include other breaker commands that are not
indicative of a fault in the protected zone). The initiating signal needs to be sealed-in if
primary fault detection can reset before the breaker failure timers have finished timing.
The seal-in is supervised by current level, so it is reset when the fault is cleared. If required,
an incomplete sequence seal-in reset can be implemented by using the initiating operand
to also initiate a FlexLogic timer, set longer than any breaker failure timer, whose output
operand is selected to block the breaker failure scheme.
Schemes can be initiated either directly or with current level supervision. It is particularly
important in any application to decide if a current-supervised initiate is to be used. The use
of a current-supervised initiate results in the breaker failure element not being initiated for
a breaker that has very little or no current flowing through it, which can be the case for
transformer faults. For those situations where it is required to maintain breaker fail
coverage for fault levels below the
Phase Current Supv Pickup or the Neutral Current Supv
Pickup setting, do not use a current supervised initiate. This feature can be utilized for
those situations where coordinating margins can be reduced when high speed reclosing is
used. Thus, if this choice is made, fault levels must always be above the supervision pickup
levels for dependable operation of the breaker fail scheme. This can also occur in breaker-
and-a-half or ring bus configurations where the first breaker closes into a fault; the
protection trips and attempts to initiate breaker failure for the second breaker, which is in
the process of closing, but does not yet have current flowing through it.
When the scheme is initiated, it immediately sends a trip signal to the breaker initially
signaled to trip (this feature is usually described as re-trip). This reduces the possibility of
widespread tripping that results from a declaration of a failed breaker.
Determination of a breaker failure condition
The schemes determine a breaker failure condition via three paths. Each of these paths is
equipped with a time delay, after which a failed breaker is declared and trip signals are
sent to all breakers required to clear the zone. The delayed paths are associated with
breaker failure timers 1, 2, and 3, which are intended to have delays increasing with
increasing timer numbers. These delayed paths are individually enabled to allow for
maximum flexibility.
$&'5
$YHUDJH
0D[LPXP




   
0XOWLSOHRISLFNXS
5HVHWWLPHF\FOHV

Table of Contents

Other manuals for GE D90 Plus

Related product manuals