EasyManua.ls Logo

GE P24DM - Timer Setting Selection; Figure 66: Selecting the Timer Settings

GE P24DM
600 pages
Print Icon
To Next Page IconTo Next Page
To Next Page IconTo Next Page
To Previous Page IconTo Previous Page
To Previous Page IconTo Previous Page
Loading...
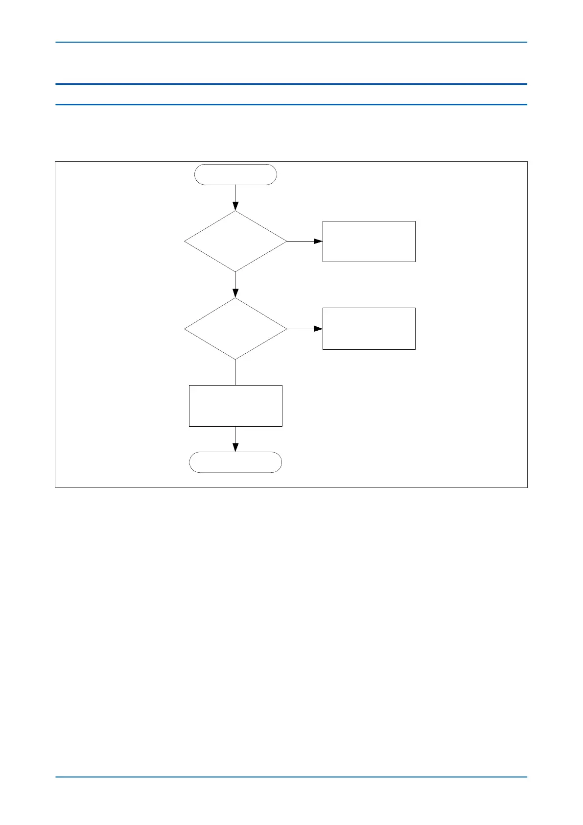
11 TIMER SETTING SELECTION
The timer settings used depend on whether there is a Selective Overcurrent condition or a Cold Load Pickup
condition (if this f
unctionality is used). The protection function selects the settings according to the following flow
diagram:
Start
Is Selective Logic active ?
End
Yes
No
V00652
Use the timer settings defined in
the SELECTIVE LOGIC column
Does a cold Load Pickup
condition exist ?
Yes
Use the timer settings defined in
the COLD LOAD PICKUP
column
Use the normal timer settings
No
Figure 66: Selecting the timer settings
Chapter 6 - Current Protection Functions P24xM
142 P24xM-TM-EN-2.1

Table of Contents

Related product manuals