EasyManua.ls Logo

Metrohm 900 - Figure 13 Equivalence Point Recognition and Equivalence Point Numbering Within; Windows

Metrohm 900
553 pages
Print Icon
To Next Page IconTo Next Page
To Next Page IconTo Next Page
To Previous Page IconTo Previous Page
To Previous Page IconTo Previous Page
Loading...
29.1 Dynamic equivalence point titrations (DET)
■■■■■■■■■■■■■■■■■■■■■■
290
■■■■■■■■
900 Touch Control
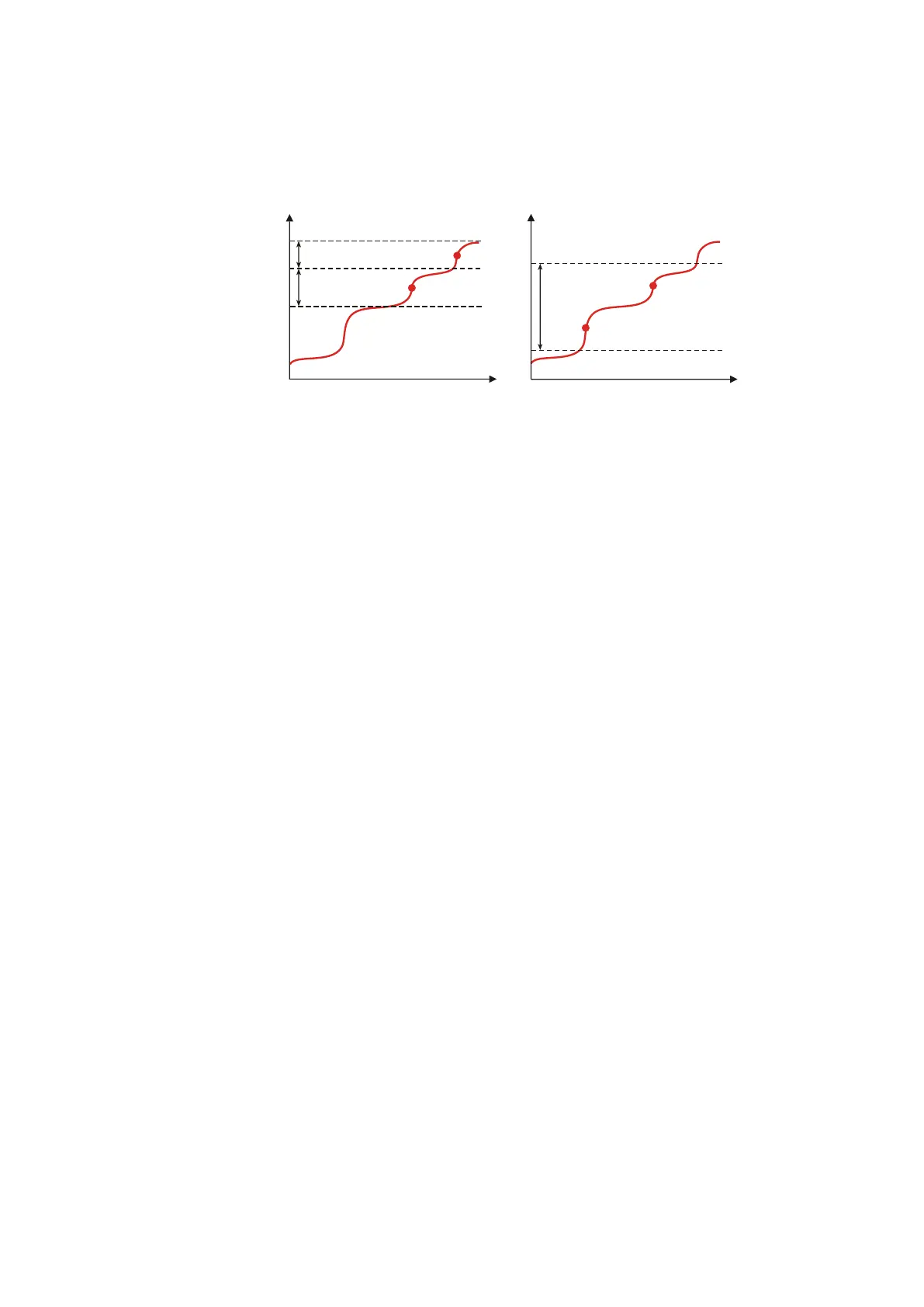
Only one equivalence point will be recognized in a window. The number-
ing of the equivalence points (EP) is defined by the numbering of the win-
dows (e.g. EP2 in window 2), so that even if EPs are missing, the calcula-
tions will still be carried out with the correctly assigned EP volumes.
Figure 13 Equivalence point recognition and equivalence point num-
bering within windows
In the first example in the above figure, two equivalence points are recog-
nized in two different windows (EP1 in window 1 and EP2 in window 2).
In the second example, two equivalence points are found in one window,
but only the first one is recognized. In order to ensure that the user recog-
nizes that more than one equivalence point was found in the set window,
EP1 is marked with a "+" in the result view. In addition, a corresponding
message is entered in the message list.
Evaluation and equivalence point criterion with DET
The equivalence points (EP) are localized in a way similar to the Tubbs
method [1][2]. The volume value of the equivalence point (V
E
) is shifted
from the inflection point (see arrow) towards the smaller circle of curva-
ture for real asymmetric titration curves.
[1] C. F. Tubbs, Anal. Chem. 1954, 26, 1670–1671.
[2] E. Bartholomé, E. Biekert, H. Hellmann, H. Ley, M. Weigert, E. Weise,
Ullmanns Encyklopädie der technischen Chemie, Vol. 5, Verlag Chemie,
Weinheim, 1980, p. 659.

Table of Contents

Related product manuals