EasyManua.ls Logo

Anritsu MT1000A - Page 382

Anritsu MT1000A
605 pages
Print Icon
To Next Page IconTo Next Page
To Next Page IconTo Next Page
To Previous Page IconTo Previous Page
To Previous Page IconTo Previous Page
Loading...
Packet TEPacket TE
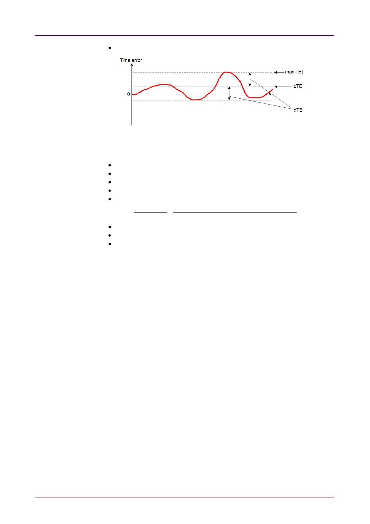
max|TE|: Absolute maximum value of the phase error
TE (Time error) represents the time difference calculated from timestamps in
IEEE1588.2 messages. 'N/A' is displayed when the messages from DUT have
not arrived or Network Master behaves as Master clock.
cTE1: Mean value of TE1
cTE4: Mean value of TE4
max|TE1|: Absolute maximum value of TE1
max|TE4|: Absolute maximum value of TE4
Terr: Time error between DUT and Network Master
Terr =
cTE1 + cTE4
=
(avg. Delay_Request OWD) (avg. Sync OWD)
2 2
max|Terr|: Absolute maximum value of Terr
Terr(min): Mimimum value of Terr
Terr(max): Maximum value of Terr
The each formula is shown below.
cTE1 = −1 × (avg. Sync OWD) + Δms
cTE4 = (avg. Delay_Request OWD) Δsm
max|TE1| =Greater absolute value of (−1 × (max. Sync OWD) + Δms)
and (1 × (min. Sync) OWD + Δms)
max|TE4| =Greater absolute value of(max. Delay_Request OWD Δsm)
and (min. Delay_Request OWD Δsm)
max|Terr| = max|cTE1 + cTE4|/2
= max|(avg. Delay_Request OWD) - (avg. Sync OWD)|/2
Δms = Δsm = Ethernet cable delay
66..1313..33..22 1PPS1PPS
Touching the 1PPS1PPS in the navigation area displays the screen shown below.
Ethernet ApplicationsEthernet Applications
382382

Table of Contents

Other manuals for Anritsu MT1000A

Related product manuals