EasyManua.ls Logo

Dräger Primus Infinity Empowered - Age-Dependent MAC Values

Dräger Primus Infinity Empowered
277 pages
Print Icon
To Next Page IconTo Next Page
To Next Page IconTo Next Page
To Previous Page IconTo Previous Page
To Previous Page IconTo Previous Page
Loading...
Monitoring
148
Instructions for use Primus Infinity Empowered SW 4.5n
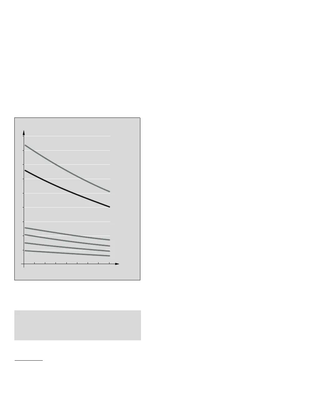
Age-dependent MAC values
The MAC values used in Primus Infinity
Empowered are corrected for age. Therefore make
sure the patient's age is entered correctly. Calcula-
tion follows the equation from W.W. Mapleson (Brit-
ish Journal of Anaesthesia 1996, P. 179-185). The
equation applies to patients older than 1 year of
age.
MAC
age-corrected = MAC* x 10
(–0.00269 x (age –40))
Primus Infinity Empowered automatically adjusts
the MAC calculation according to the ambient pres-
sure.
* 40 years
075
NOTE
The age "1" is used when the age is set to "<1".
Special attention is required for patients younger
than one year.
0
0
1
2
3
4
5
6
7
8
9
10 20 30 40 50 60 70 80
Influence of age on the MAC value
Vol%
Age (years)
Desflurane
1/20 N
2O
Sevoflurane
Enflurane
Isoflurane
Halothane

Table of Contents

Other manuals for Dräger Primus Infinity Empowered

Related product manuals