EasyManua.ls Logo

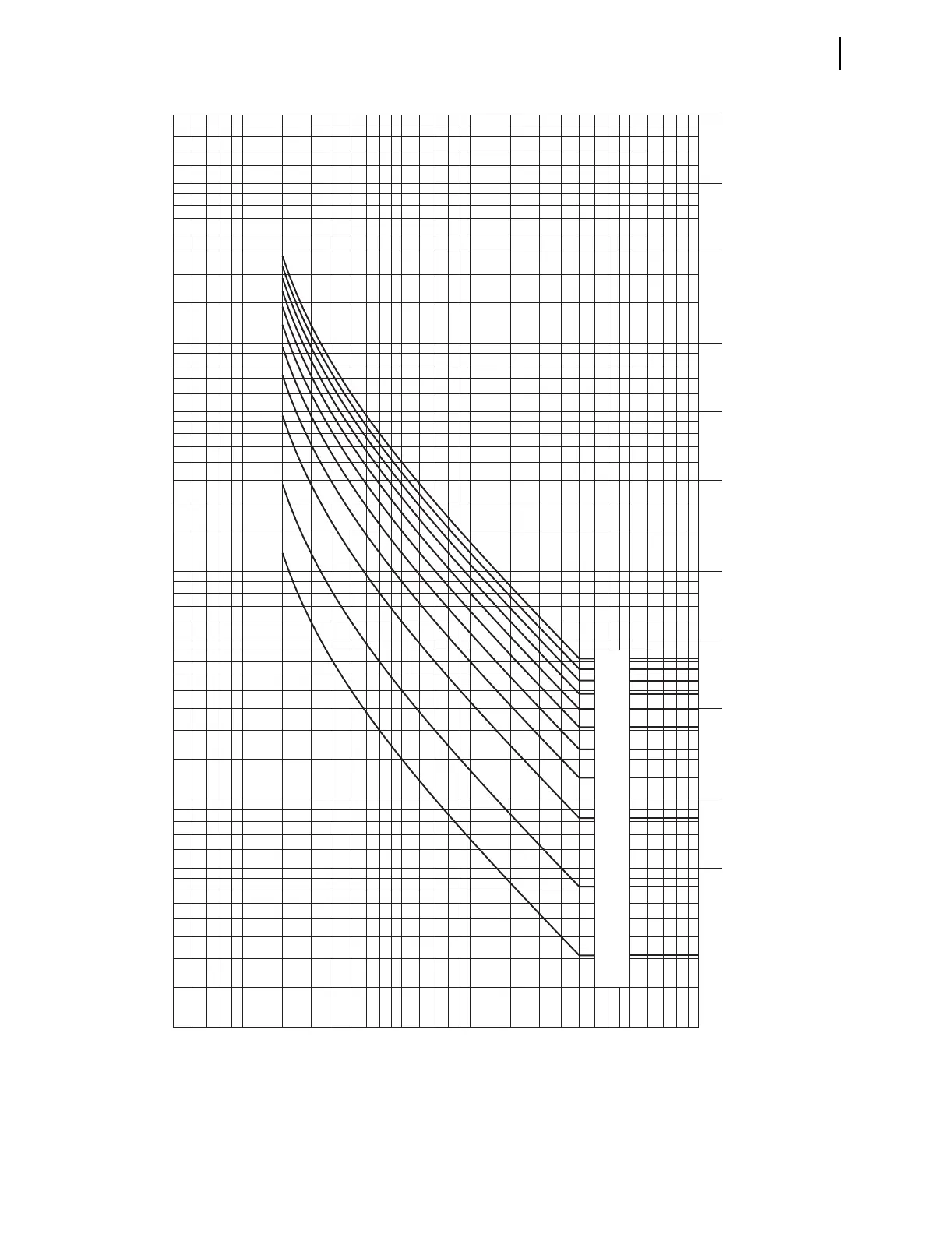
Sel 751A - Figure 4.16 IEC Long-Time Inverse Curve: C4

Sel 751A
640 pages
Print Icon
To Next Page IconTo Next Page
To Next Page IconTo Next Page
To Previous Page IconTo Previous Page
To Previous Page IconTo Previous Page
Loading...
4.25
Date Code 20100129 Instruction Manual SEL-751A Relay
Protection and Logic Functions
Basic Protection
Figure 4.16 IEC Long-Time Inverse Curve: C4
0.20
0.10
0.05
1.00
0.90
0.80
0.70
0.60
0.50
0.40
0.30
.7.6.5
.1
.9.8 1
.4
.2
.3
.5
.6
.8
.7
.9
1
2
3
4
5
7
6
423 765
10
98
40
20
30
70
50
60
80
90
100
50
9
8
10
20
30
40
300
200
100
80
60
70
90
1000
900
800
700
600
500
400
Time in Seconds
Multiples of Pickup
Time in Cycles 60 Hz (50Hz)
30 (25)
60 (50)
150 (125)
300 (250)
3000 (2500)
600 (500)
1500 (1250)
6000 (5000)
15000 (12500)
30000 (25000)
60000 (50000)

Table of Contents

Related product manuals