EasyManua.ls Logo

Abbott CELL-DYN 3000 - System Description; Introduction

Abbott CELL-DYN 3000
296 pages
Print Icon
To Next Page IconTo Next Page
To Next Page IconTo Next Page
To Previous Page IconTo Previous Page
To Previous Page IconTo Previous Page
Loading...
28 Oct
1997 20:45
CELL-DYN
®
3/35 Sample Loader TS Guide 9140234B-June 1997
TROUBLESHOOTING
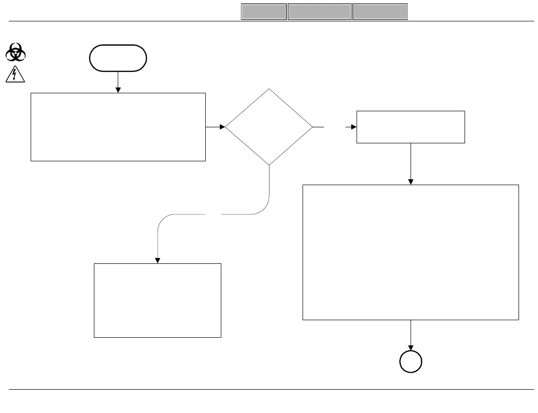
IP - 2 Erratic Results, 1 of 2
1 - 13
1
Search
Book TOC
Go Back
IP - 2 Erratic Results, 1 of 2
Change Sampler to
CLOSED
Mode
Result
Precision
OK
?
See System Guide
W OC Errors IP-9
HGB Errors IP-27
RBC/PLT/MCV/WIC
IP-29 Troubleshooting
Perform Precision Run in
OPEN
mode. See System
Troubleshooting Guide, VP-34.
- Run Sample 10 times
1
START
Inspect/Correct Tubing and Probe(s)
- Ensure all Connections are OK
- Replace Sample Tubing if Bent or
Damaged (PL 7.8)
- Clean Sample/Vent Needle(s)
- Replace Needle if Necessary
E (PL-5.14)
F sample (PL-5.14) & vent (PL-5.12)
G sample (PL-5.14) & vent (PL-5.12)
No
Yes

Table of Contents

Other manuals for Abbott CELL-DYN 3000

Related product manuals