EasyManua.ls Logo

Abbott CELL-DYN 3000 - IP - 17 Rack Fault or Alarm 4 (m, n, o, p, q, r) R...

Abbott CELL-DYN 3000
296 pages
Print Icon
To Next Page IconTo Next Page
To Next Page IconTo Next Page
To Previous Page IconTo Previous Page
To Previous Page IconTo Previous Page
Loading...
28 Oct
1997 20:45
CELL-DYN
®
3/35 Sample Loader TS Guide 9140234B-June 1997
TROUBLESHOOTING
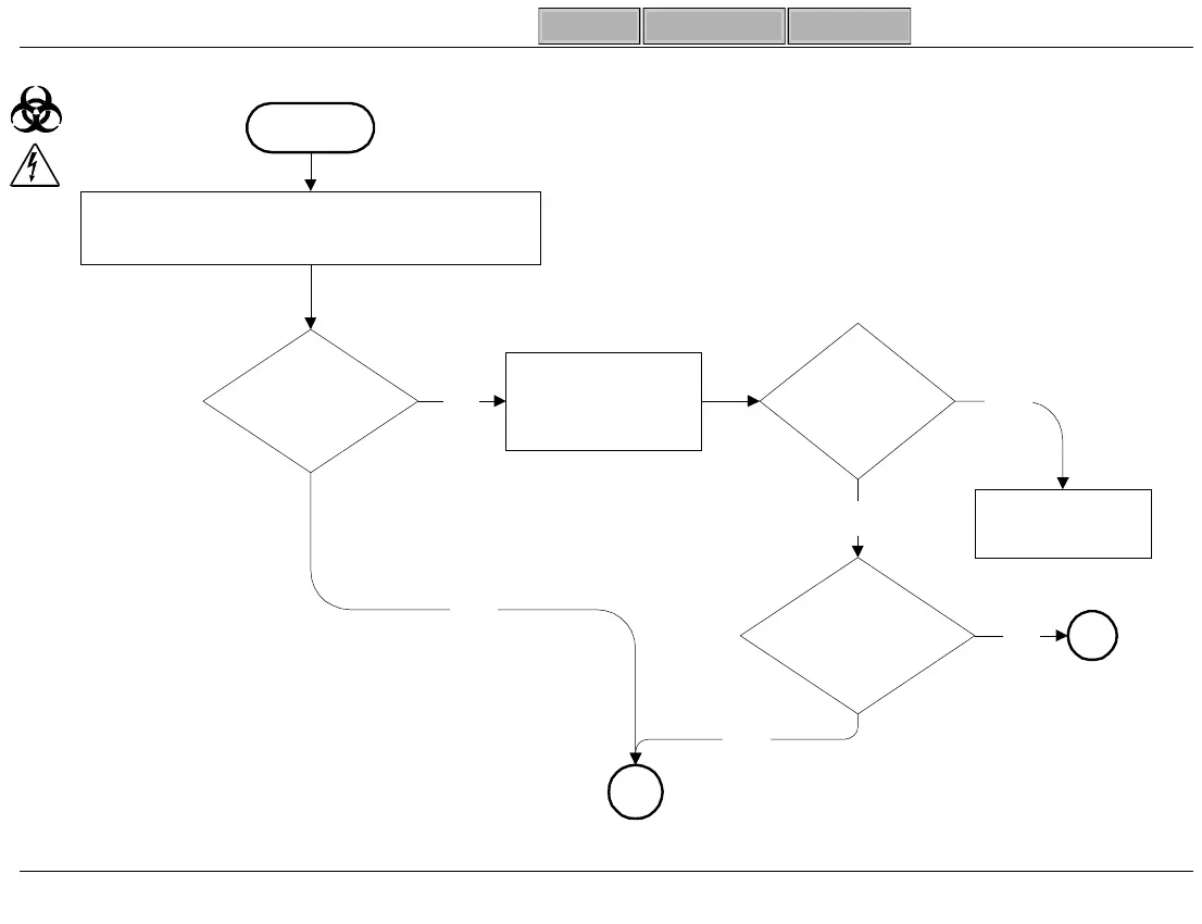
IP - 17 Rack Fault or Alarm 4 (m, n, o, p, q, r) Rack Sensors, 1 of 3
1 - 67
1
Search
BookTOC
GoBack
IP - 17 Rack Fault or Alarm 4 (m, n, o, p, q, r) Rack Sensors, 1 of 3
- Reseat CN3 on CPU Main Bd.
- Perform VP-4.1 Rack Sensor Check
START
Perform VP-4.2
Rack Sensor
Adjustment
Check
Passed
?
Yes
No
2
Problem
Corrected
?
Problem
Intermittent
?
No
No
Yes
Perform Total
Call
Yes
1

Table of Contents

Other manuals for Abbott CELL-DYN 3000

Related product manuals