EasyManua.ls Logo

OmniPod 5 - Page 337

OmniPod 5
366 pages
Print Icon
To Next Page IconTo Next Page
To Next Page IconTo Next Page
To Previous Page IconTo Previous Page
To Previous Page IconTo Previous Page
Loading...
329
AppendixAppendix
IP (Ingress Protection) rating for moisture and dust: : IP28 (protected from
touch by ngers and objects 12.5 millimeters or larger; protected from water to a
depth of up to 7.6 meters (25 feet) for up to 60 minutes)
Insulin concentration: U-100
Alarm type: Audible. Output: ≥ 45 db(A) at 1 meter
Sterilizing agent: sterilized using ethylene oxide
Operating relative humidity range: 20 to 85%, non-condensing
Storage relative humidity range: 20 to 85%, non-condensing
Operating atmospheric pressure: 700 hPa to 1060 hPa
Storage atmospheric pressure: 700 hPa to 1060 hPa
Non-pyrogenic: Fluid pathway only
Type BF applied part: Protection from electrical shock
Maximum infusion pressure: 35 psi
Maximum volume infused under single fault conditions: 0.05 U
Flow Capability:
Prime rate: 0.05 unit per second.
Basal: Programmable by the user in 0.05 U increments up to 30.0 U per hour
Bolus Rate: 1.5 units per minute. Dose range from 0.05 to 30.0 units
Delivery accuracy (tested per IEC 60601-2-24):
Basal: ± 5% at rates ≥ 0.05 U/hr
Bolus: ± 5% for amounts ≥ 1.0 unit
± 0.05 units for amounts < 1.0 unit
Note: You should consider bolus dose accuracy when setting a bolus dose. When
using the lowest bolus dose allowable (0.05 units), the actual bolus delivered may
be as low as 0.00 units or as high as 0.10 units.
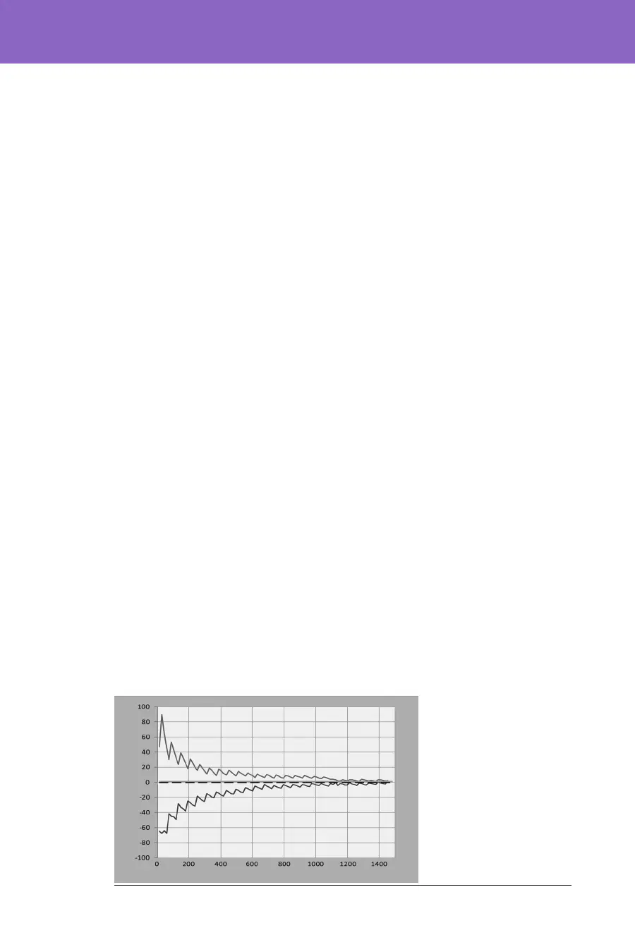
Accuracy test results: e following graph shows the ow accuracy of the Pod
against given time periods. e measurements were made using a Pod with a
basal rate of 0.5 μl/h (which delivers 0.05 U/h of U-100 insulin) at a high operating
temperature. e overall mean percentage ow error was 1.40%.
Observation Interval (min)
Error (%)
EpMax
EpMin

Table of Contents

Other manuals for OmniPod 5

Related product manuals