EasyManua.ls Logo

KLM MD-11 - Page 869

KLM MD-11
888 pages
Print Icon
To Next Page IconTo Next Page
To Next Page IconTo Next Page
To Previous Page IconTo Previous Page
To Previous Page IconTo Previous Page
Loading...
MD-11 Flight Crew Operations Manual
k
Warning and Alerting -
Controls and Displays
Warn.30.11
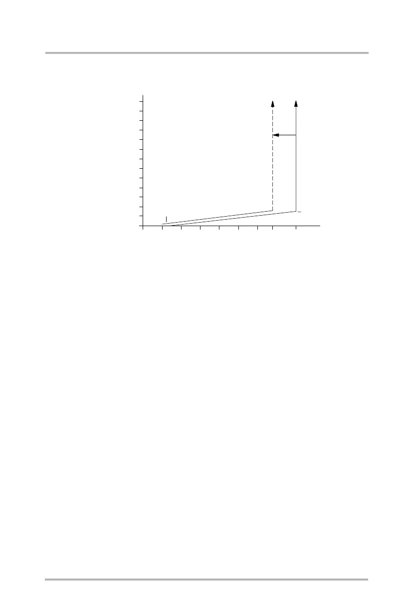
GPWS/EGPWS - Bank Angle Warning Limits
DB1-2-1666
0
0
0.1
0.2
0.3
0.4
0.5
0.6
0.7
0.8
0.9
1
5
10
20
15
25
30
34
40
1.1
1.2
1.3
RADIO
ALTITUDE
(THOUSANDS)
LEFT/RIGHT BANK ANGLE (DEG)
MAX ADVANCE
WITH ROLL RATE
150 FT
6
D
E
G
"BANK ANGLE
BANK ANGLE"
(VOICE WARNING)
October 02, 2006

Table of Contents