EasyManua.ls Logo

Compulite Dlite - Using Libraries as Base Value for Effects; Direction and Scope

Compulite Dlite
200 pages
Print Icon
To Next Page IconTo Next Page
To Next Page IconTo Next Page
To Previous Page IconTo Previous Page
To Previous Page IconTo Previous Page
Loading...
131
DLITE
Effects
Base levels can be set:
Before accessing the effect editor by simply setting levels for the parameters that will be
participating in the effect.
Using the base wheel (wheel 3) in the Effects Editor.
Using libraries.
To modify base levels
Select the fixtures and the parameter. Use the base wheel to change the parameter value.
Using libraries as base value for effects
Libraries may be used as templates for base levels.
To set base levels using libraries
Example: Use beam library 3 to set base levels for a new effect.
1 Select fixtures.
2 Apply beam library 3.
3 Press
B to access the beam bank and select one of the parameters.
4 Press
EFFECT.
The touch screen is now in effect mode.
5 Select the effect.
The effect begins running immediately on the selected beam parameter.
6 Repeat steps 3 thorugh 5 until the effect is running on the required parameters.
7 Store the effect as a scene, chase step, cue, or effect library.
IMPORTANT! Tap +BASE to save the base levels in effect libraries.
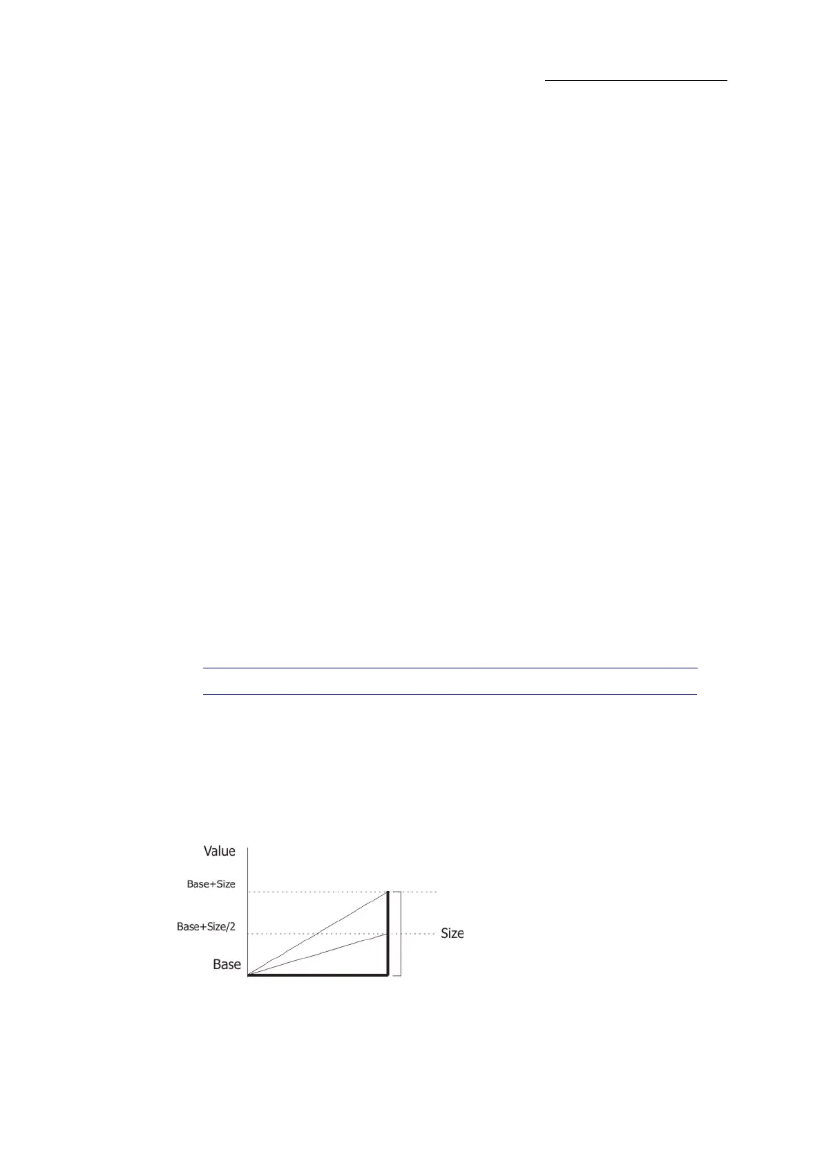
Direction and scope
Up, down, and center determine the direction and scope of the effect in relation to the base value,
the starting point. Swing can be up, center, or down.
Up

Table of Contents