EasyManua.ls Logo

Agilent Technologies ENA Series - Page 78

Agilent Technologies ENA Series
769 pages
Print Icon
To Next Page IconTo Next Page
To Next Page IconTo Next Page
To Previous Page IconTo Previous Page
To Previous Page IconTo Previous Page
Loading...
72 Chapter 3
Setting Measurement Conditions
Setting Stimulus Conditions
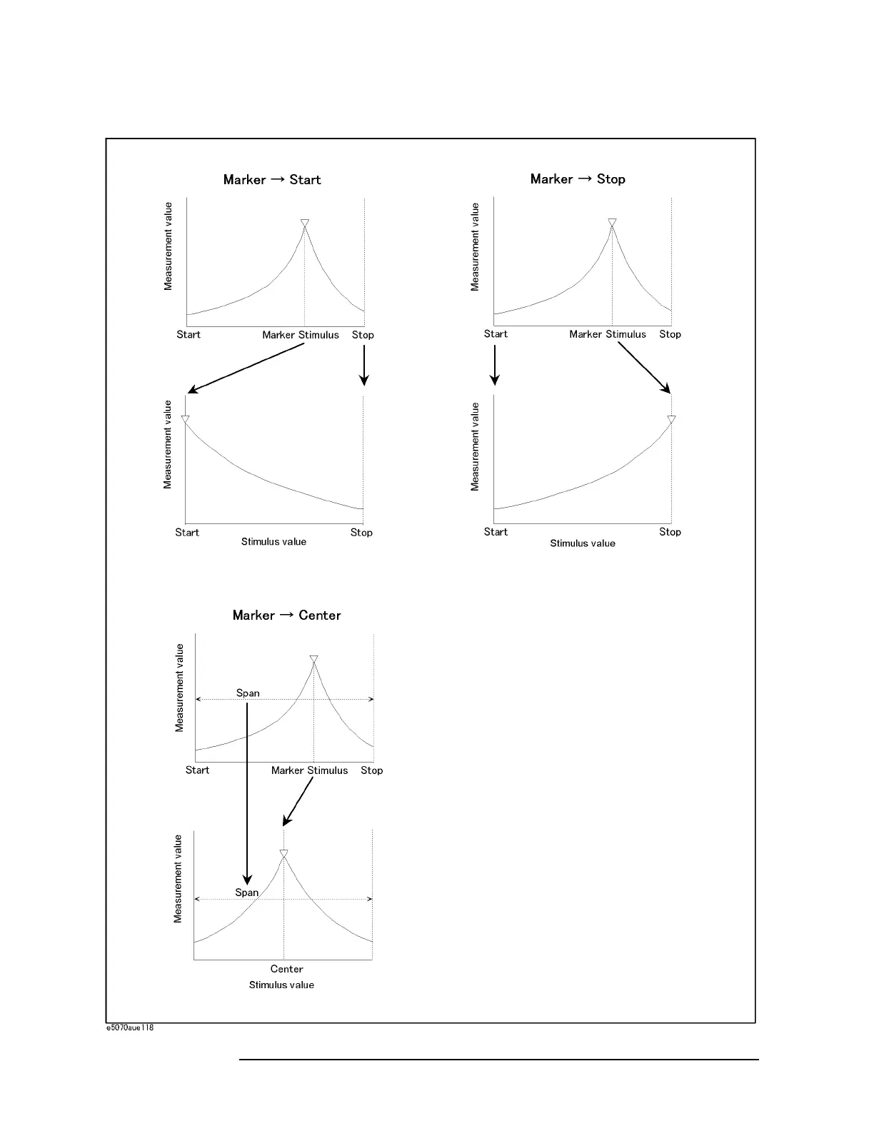
Figure 3-4 Setting the sweep range using the marker

Table of Contents

Other manuals for Agilent Technologies ENA Series

Related product manuals