EasyManua.ls Logo

Philips MX400 - Horizon View; Setting the Horizon; Setting the Horizon Trend Scale

Philips MX400
534 pages
Print Icon
To Next Page IconTo Next Page
To Next Page IconTo Next Page
To Previous Page IconTo Previous Page
To Previous Page IconTo Previous Page
Loading...
23 Trends
322
Horizon View
The horizon view presents trend information superimposed over a defined baseline or base range. This
helps you visualize changes in your patient's condition since the baseline was set.
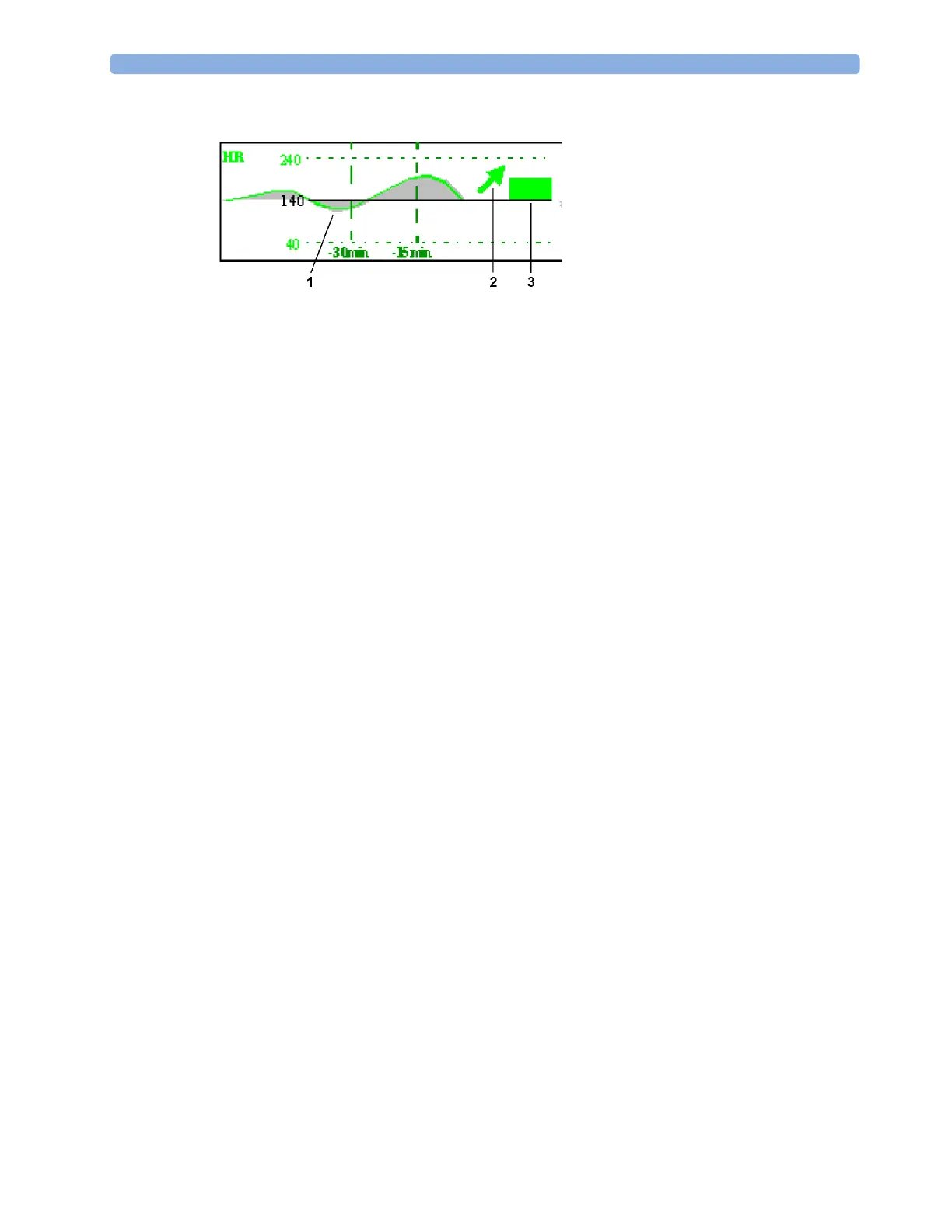
The horizon view is made up of:
a horizon, drawn in white, as a reference point or baseline to help you visualize changes in your
patient's condition. The horizon can be set to represent your patient's current condition, or a
target condition and can be a single value or a range.
a graphical trend, displaying patient data for the set TrendTime (1).
a trend indicator arrow, indicating how the patient trend has developed in the set time period
(10minutes, 5minutes or 2minutes) (2).
a deviation bar, showing how the currently measured value deviates from the set horizon (3). The
height of the deviation bar is an indication of the extent of the change in your patient's condition
relative to the (horizon) baseline.
Your monitor may not be configured to show all elements of the screen trend horizon view.
Setting the Horizon
The horizon is the reference value to which deviations in the measurements are compared.
1 To set the horizon, select the horizon trend.
2 Select
Set High Horizon to select the upper horizon value. If the high and low horizon values are the
same, the horizon is a baseline - if the values are different the horizon is a range.
Set Low Horizon to select the lower horizon value.
Auto Horizon to set the horizon for the selected horizon trend to the currently-measured
value.
Auto All to reset the horizon for all horizon screen trends to the currently-measured values.
Set Horizon to set the horizon to a specific value from a pop-up list.
Setting the Horizon Trend Scale
The horizon trend scale is defined with respect to the horizon. If your horizon is set to 100 and you
select 20 as the horizon scale delta, the upper limit of the horizon scale will be 120 and lower limit 80.
To set the horizon trend scale delta,
1 Select the horizon trend.
2 Select Set Scale Delta and select a value to define the distance between the horizon and the upper
and lower scale limits.

Table of Contents

Related product manuals