EasyManua.ls Logo

Philips Sopho 2000 IPS - Programming Summary

Philips Sopho 2000 IPS
880 pages
Print Icon
To Next Page IconTo Next Page
To Next Page IconTo Next Page
To Previous Page IconTo Previous Page
To Previous Page IconTo Previous Page
Loading...
– 623 – NWA-008845-001 Rev.5.0
32ch1010.fm
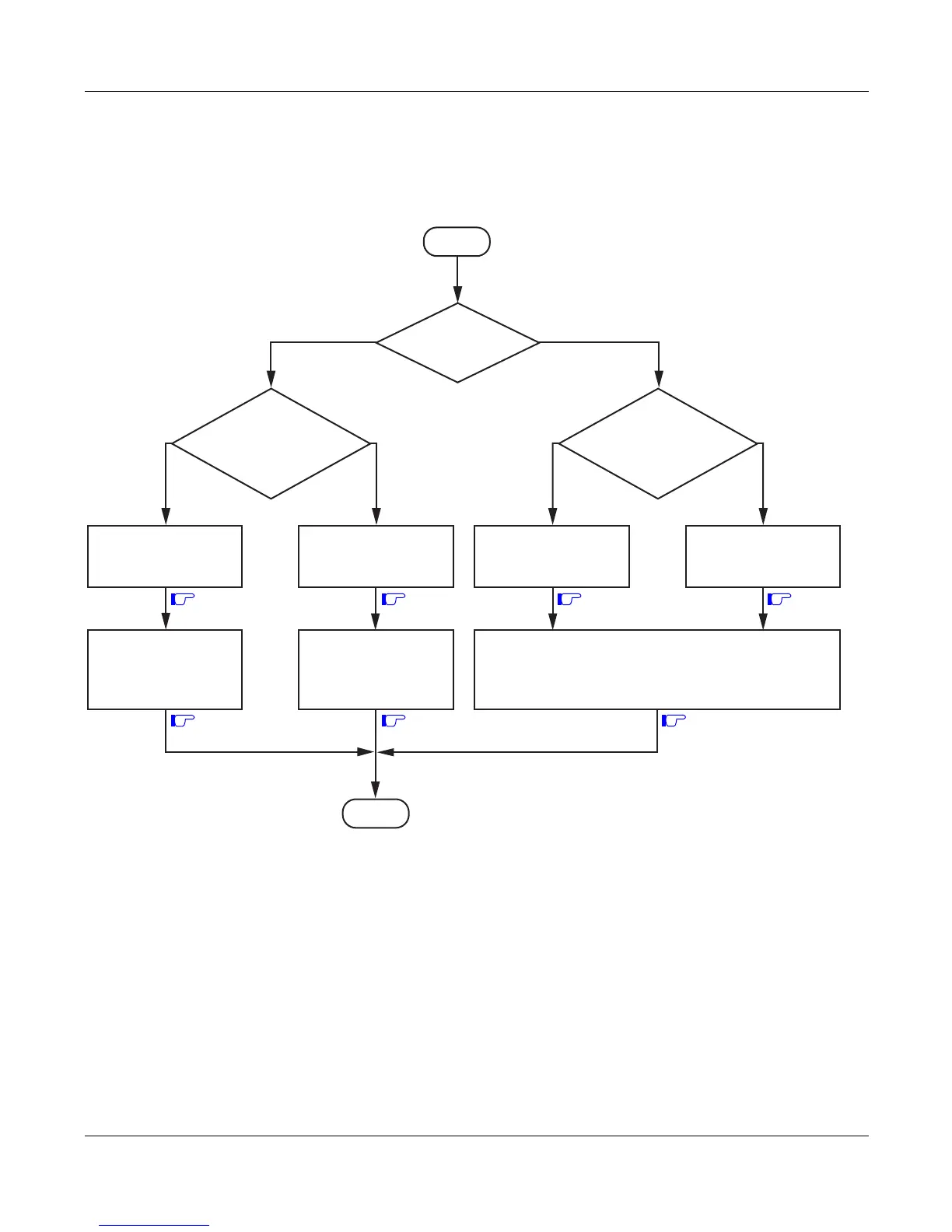
PROGRAMMING SUMMARY
Programming Summary for SMDR
END
SMDR with AP00
Programming
(
PN-AP00-B
with
AP00 program)
START
MP built-in or AP?
PN-AP00-B
with AP00 program or
PN-AP00-B/PN-AP00-D with
MRCA program?
Built-in SMDR on
RS-232C or
Built-in SMDR
on IP?
MP built-inAP
AP Initialization
(PN-AP00-B with
AP00 program)
SMDR with AP00
Programming
(
PN-AP00-B/PN-AP00-D
with MRCA program)
Built-in SMDR Service Programming
AP Initialization
(PN-AP00-B/PN-AP00-D
with MRCA program)
Built-in SMDR on
RS-232C Programming
Built-in SMDR on
IP Programming
Page 634
Page 636
Page 649
Page 650
Page 625 Page 628
Page 630
JULY/01/2006
STATION MESSAGE DETAIL RECORDING (SMDR)
PROGRAMMING SUMMARY

Table of Contents