EasyManua.ls Logo

Mazda 2002 6 - Page 1192

Mazda 2002 6
1248 pages
Print Icon
To Next Page IconTo Next Page
To Next Page IconTo Next Page
To Previous Page IconTo Previous Page
To Previous Page IconTo Previous Page
Loading...
CONTROL SYSTEM
U41
U
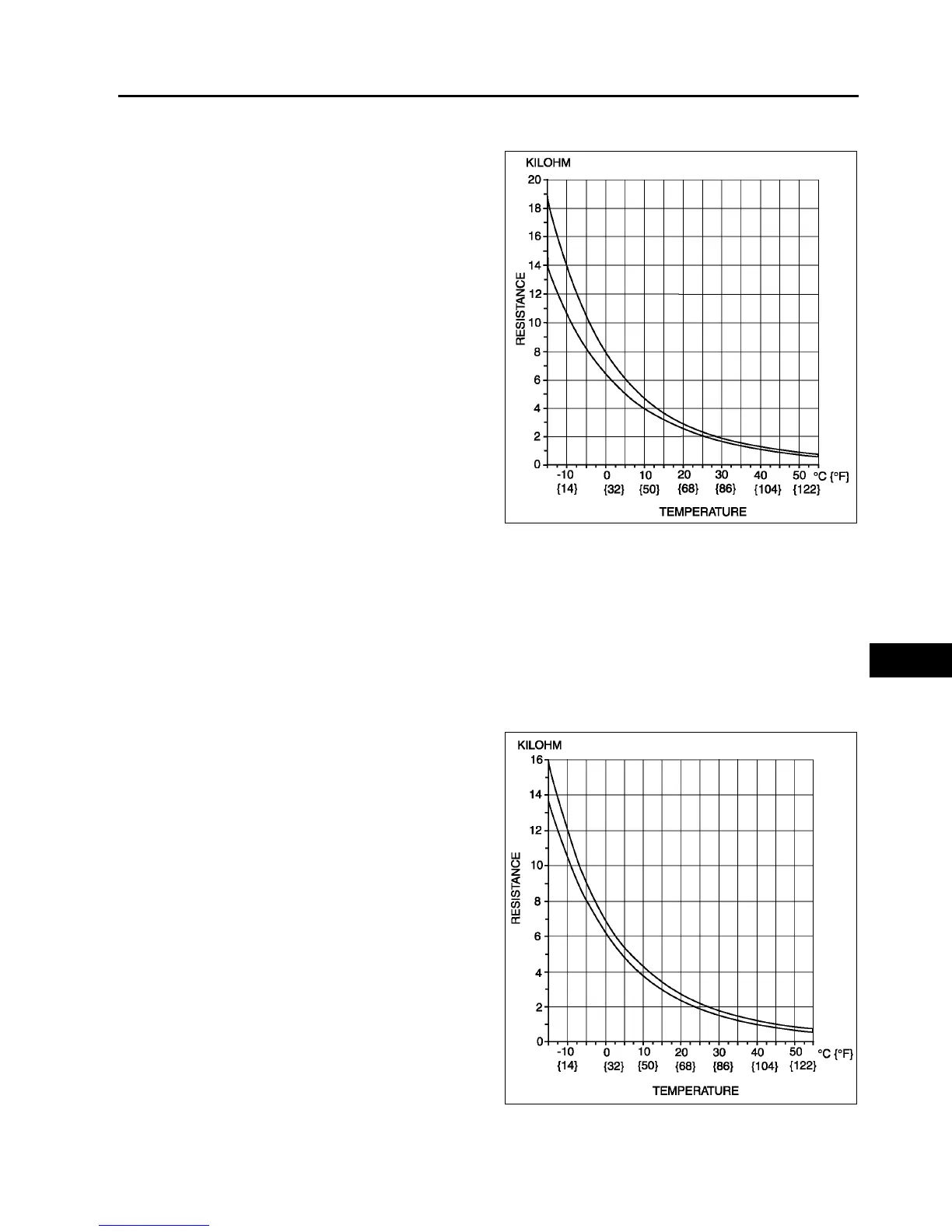
CABIN TEMPERATURE SENSOR INSPECTION
A6E854061757W02
1. Measure the temperature around the cabin temperature sensor.
2. Measure the resistance between terminals of the
cabin temperature sensor.
If the resistance is not as shown in the graph,
replace the cabin temperature sensor.
End Of Sie
EVAPORATOR TEMPERATURE SENSOR REMOVAL/INSTALLATION
A6E854061022W01
1. Remove the evaporator temperature sensor from the A/C unit. (See U18 A/C UNIT DISASSEMBLY/
ASSEMBLY.)
End Of Sie
EVAPORATOR TEMPERATURE SENSOR INSPECTION
A6E854061022W02
1. Turn the AUTO switch on.
2. Set the temperature control at MAX COLD (Turn the left).
3. Turn the A/C switch.
4. Set the RECIRCULATE mode.
5. Close all doors and windows.
6. Wait for 5 minutes.
7. Remove the glove compartment.
8. Disconnect the evaporator temperature sensor.
9. Measure the temperature at the blower inlet.
10. Measure the resistance between terminals of the
evaporator temperature sensor.
If the resistance is not as shown in the graph,
replace the evaporator temperature sensor.
End Of Sie
A6E8540W021
A6E8540W019

Table of Contents

Other manuals for Mazda 2002 6

Related product manuals