EasyManua.ls Logo

Lenze i950 - Page 229

Lenze i950
500 pages
Print Icon
To Next Page IconTo Next Page
To Next Page IconTo Next Page
To Previous Page IconTo Previous Page
To Previous Page IconTo Previous Page
Loading...
Adapt pole posion idencaon PLI (360°)
RFR
IMP
t [s]
0
1
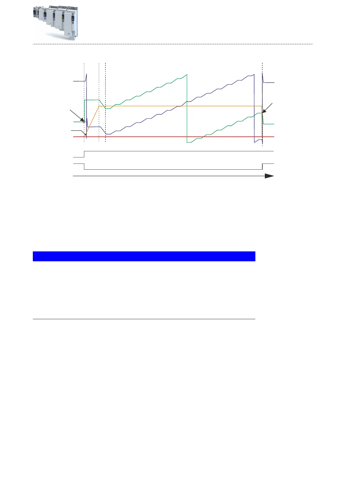
Fig. 66: Chronological sequence of the pole posion idencaon
In case of drives with a high stac fricon, mass
inera or alternang load, an opmisaon
may be necessary:
The amplitude of the curr
ent vector must be set so high that the motor with a high mass
inera can be accelerated.
The cy
clic connued rotaon of the current vector by 22.5° has to cause an equivalent
angular rotaon of the motor sha (rotor). A step funcon has to be achieved. Here,
actual posions with very low overshoots are visible.
NOTICE
Thermal overload of the motor!
The mot
or may be permanently damaged.
If no temperature monitoring is available in the motor, and/or the I²xt motor monitoring
and the maximum current monitoring are not parameterised correctly, the motor can be
permanently damaged if the current amplitude is set too high!
Motor overload monitoring (i²*t)
Overcurrent monitoring
Overview of more objects available for
Idencaon
T
riggering
Diagnoscs
Tip!
An oscilloscope serves to execute the opmisaon
Conguring the feedback system
S
ynchronous motor: Pole posion idencaon (PPI)
Pole posion idencaon (PPI) 360°
229

Table of Contents

Other manuals for Lenze i950

Related product manuals