EasyManua.ls Logo

Sailor 100 - Other Transmitters

Sailor 100
262 pages
Print Icon
To Next Page IconTo Next Page
To Next Page IconTo Next Page
To Previous Page IconTo Previous Page
To Previous Page IconTo Previous Page
Loading...
Site preparation
98-137654-A Chapter 3: Installation 3-15
3333
Installation
3.2.6.4 GPS receivers
Good quality GPS receivers will work properly very close to the ADU.
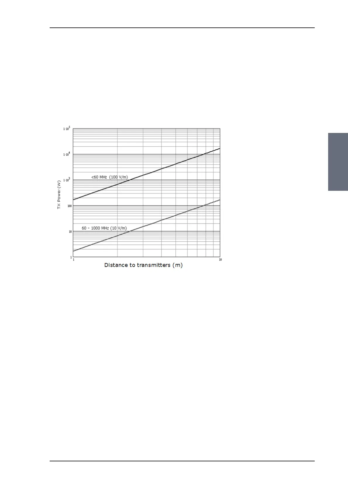
3.2.6.5 Other transmitters
See the following figure for minimum recommended distance to
transmitters in the frequency range below 1000 MHz.
Figure 3-11: Recommended distance to transmitters (m) for frequencies below
1000 MHz
SAILOR100TM.book Page 15 Tuesday, January 29, 2013 2:44 PM

Table of Contents

Other manuals for Sailor 100