EasyManua.ls Logo

YASKAWA GA700 Series

YASKAWA GA700 Series
1021 pages
To Next Page IconTo Next Page
To Next Page IconTo Next Page
To Previous Page IconTo Previous Page
To Previous Page IconTo Previous Page
Loading...
3.17 Motor Application Precautions
130 YASKAWA SIEPC71061705H GA700 Series Technical Manual
3.17 Motor Application Precautions
Precautions for Existing Standard Motors
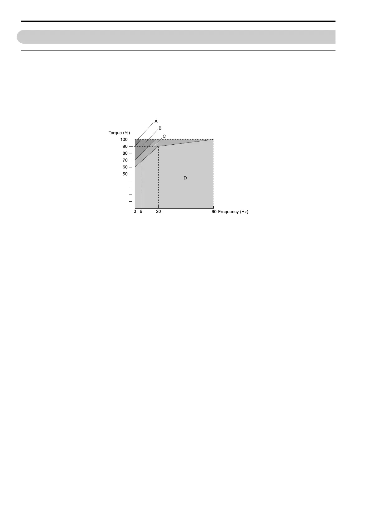
Low-Speed Range
When a drive operates a standard motor, it will lose more power compared to operating the motor with a
commercial power supply. In the low speed range, the temperature of the motor increases quickly because the
motor cannot decrease its temperature when the speed decreases. In these conditions, decrease the load torque of
the motor in the low-speed range. Figure 3.81 shows the permitted load characteristics for a Yaskawa standard
motor. When 100% continuous torque is necessary at low speeds, use a motor designed to operate with a drive.
A - 25% ED (or 15 min)
B - 40% ED (or 20 min)
C - 60% ED (or 40 min)
D - Continuous operation
Figure 3.81 Permitted Load Characteristics for a Yaskawa Standard Motors
Insulation Withstand Voltage
Consider motor voltage tolerance levels and motor insulation in applications with an input voltage of over 440 V
or particularly long wiring distances. Use an insulated drive motor.
NOTICE: Use an inverter-duty motor or vector-duty motor with reinforced insulation and windings applicable for use with an AC
drive. If the motor does not have the correct insulation, it can cause a short circuit or ground fault from insulation deterioration.
High-Speed Operation
If you operate a motor more than its rated speed, you can have problems with the motor bearing durability and
dynamic balance of the machine. Contact the motor or machine manufacturer.
Torque Characteristics
When you operate a motor with a drive, the torque characteristics are different than when you operate the motor
directly from line power. Make sure that you know about the load torque characteristics for your application.
Vibration
Vibrations could occur in the these conditions:
Resonance with the natural frequency of machinery
Use caution if you add a variable-speed drive to applications that operate the motor from line power at a
constant speed. If resonance occurs, install shock-absorbing rubber around the base of the motor and enable the
Jump frequency control.
The motor is not balanced
Use caution if the motor speed is more than the rated motor speed.
Subsynchronous resonance
Subsynchronous resonance can occur with long motor shafts and in applications such as turbines, blowers, and
fans with high inertia loads.
Use Closed Loop Vector Control when these applications have subsynchronous resonance problems.

Table of Contents

Related product manuals