EasyManua.ls Logo

Altera Cyclone IV - Page 126

Altera Cyclone IV
490 pages
Print Icon
To Next Page IconTo Next Page
To Next Page IconTo Next Page
To Previous Page IconTo Previous Page
To Previous Page IconTo Previous Page
Loading...
6–20 Chapter 6: I/O Features in Cyclone IV Devices
I/O Banks
Cyclone IV Device Handbook, March 2016 Altera Corporation
Volume 1
Each Cyclone IV I/O bank has a VREF bus to accommodate voltage-referenced I/O standards. Each
VREF
pin is the reference
source for its V
REF
group. If you use a V
REF
group for voltage-referenced I/O standards, connect the
VREF
pin for that group to
the appropriate voltage level. If you do not use all the V
REF
groups in the I/O bank for voltage-referenced I/O standards, you
can use the
VREF
pin in the unused voltage-referenced groups as regular I/O pins. For example, if you have SSTL-2 Class I
input pins in I/O bank 1 and they are all placed in the
VREFB1N[0]
group,
VREFB1N[0]
must be powered with 1.25 V, and the
remaining
VREFB1N[1..3]
pins (if available) are used as I/O pins. If multiple V
REF
groups are used in the same I/O bank, the
VREF
pins must all be powered by the same voltage level because the
VREF
pins are shorted together within the same I/O bank.
1 When
VREF
pins are used as regular I/Os, they have higher pin capacitance than regular user I/O pins. This has an impact on
the timing if the pins are used as inputs and outputs.
f For more information about
VREF
pin capacitance, refer to the pin capacitance section in the Cyclone IV Device Datasheet chapter.
f For information about how to identify V
REF
groups, refer to the Cyclone IV Device Pin-Out files or the Quartus II Pin Planner
tool.
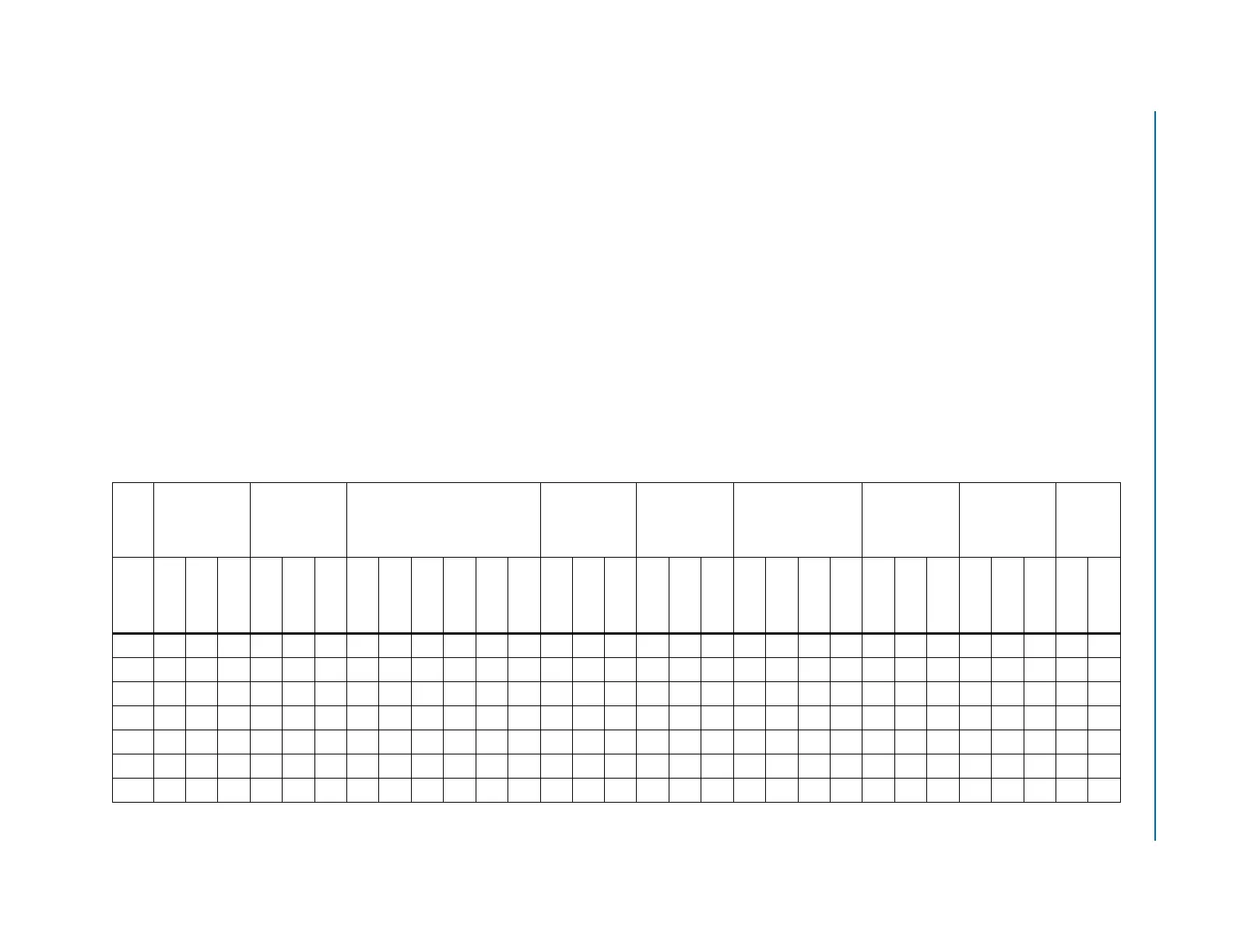
Table 6–4 and Table 6–5 summarize the number of
VREF
pins in each I/O bank for the Cyclone IV device family.
Table 6–4. Number of VREF Pins Per I/O Bank for Cyclone IV E Devices (Part 1 of 2)
Device
EP4CE6
EP4CE10
EP4CE15
EP4CE22
EP4CE30
EP4CE40
EP4CE55
EP4CE75
EP4CE115
I/O
Bank
(1)
144-EQPF
256-UBGA
256-FBGA
144-EQPF
256-UBGA
256-FBGA
144-EQPF
164-MBGA
256-MBGA
256-UBGA
256-FBGA
484-FBGA
144-EQPF
256-UBGA
256-FBGA
324-FBGA
484-FBGA
780-FBGA
324-FBGA
484-UBGA
484-FBGA
780-FBGA
484-UBGA
484-FBGA
780-FBGA
484-UBGA
484-FBGA
780-FBGA
484-FBGA
780-FBGA
1 111111222222111444444422233333
2 111111222222111444444422233333
3 111111222222111444444422233333
4 111111222222111444444422233333
5 111111222222111444444422233333
6 111111222222111444444422233333
7 111111222222111444444422233333

Table of Contents

Related product manuals