EasyManua.ls Logo

Altera Stratix - Polyphase Decimation Filter Implementation

Altera Stratix
572 pages
Print Icon
To Next Page IconTo Next Page
To Next Page IconTo Next Page
To Previous Page IconTo Previous Page
To Previous Page IconTo Previous Page
Loading...
7–26 Altera Corporation
Stratix Device Handbook, Volume 2 September 2004
Finite Impulse Response (FIR) Filters
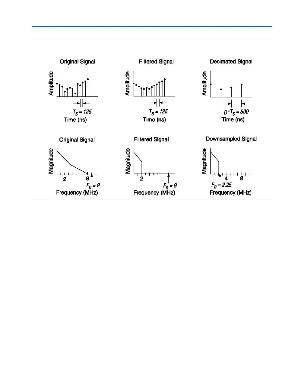
Figure 7–15. Time & Frequency Domain Representations of Decimation for D=4
Polyphase Decimation Filters
Figure 7–14 shows a direct implementation of a decimation filter, which
imposes a high computational burden. For example, if the filter is 16 taps
long and a multiplication takes one cycle, the number of computations
required per cycle is 16× D. Depending on the decimation factor (D), this
number can be quite big and may not be achievable in hardware. A
polyphase implementation of the low pass filter can reduce the number
of computations required, often by a large ratio, as will be evident later in
this section.
The polyphase implementation “splits” the original filter into D
polyphase filters with impulse responses defined by the following
equation.
h
k
n() hk nD+()=

Table of Contents

Related product manuals