EasyManua.ls Logo

Siemens SINAMICS S220

Siemens SINAMICS S220
320 pages
To Next Page IconTo Next Page
To Next Page IconTo Next Page
To Previous Page IconTo Previous Page
To Previous Page IconTo Previous Page
Loading...
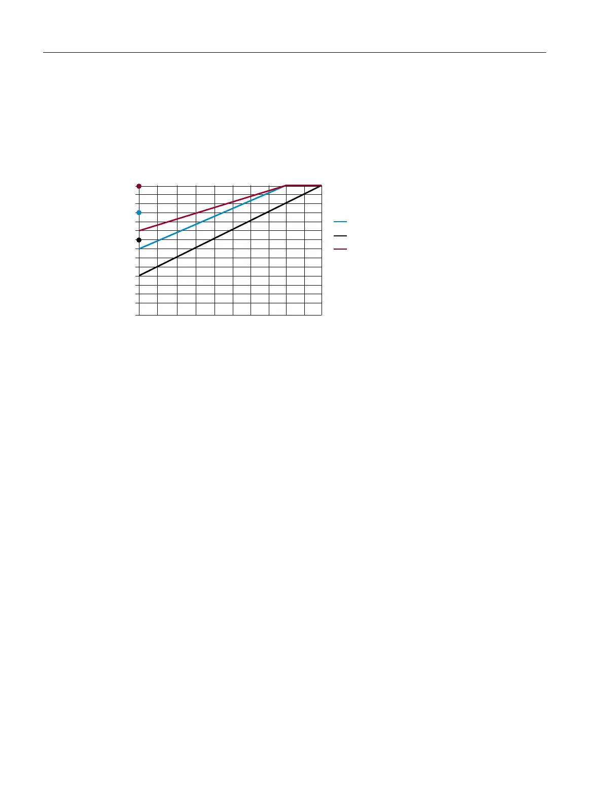
8.3.6.4 Permissible output current at low frequencies
Technical data
The following diagram shows the permissible output current as a function of the output
frequency when operating with low output frequencies.
0VUQVUGSFRVFODZ<)[>
1FSNJTTJCMFPVUQVU
DVSSFOU<>
$UZQFQVMTFGSFRVFODZࣩL)[
$UZQFQVMTFGSFRVFODZ࣪L)[
%UZQFࣩL)[








Figure8-23 Output current at low frequencies
For applications with a constant load, e.g. in paper machines, rolling mills etc., the output
current can be reduced as a function of the output frequency. To do this, the pulse frequency
must be set to a frequency less than 4 kHz.
Additional conditions for operation at low output frequencies:
The output current reduction does not apply to acceleration from zero speed if an output
frequency of >10Hz is reached within 100ms. A reduction of the output current must be
taken into consideration if, at frequencies <10 Hz, the operating time exceeds 2 % of the daily
operating time.
The D type characteristic is only applicable for a pulse frequency ≤4 kHz. For 8/16 kHz, the C
type characteristic should be used taking into account the relevant reduction of the output
current.
For drive systems with induction motors (with slip frequency), the permissible continuous
load at zero speed (e.g. suspended axis without counterweight or travel to 󹪝xed stop):
75% von I
rated
for D type
50% of I
n
for C type Motor Modules with a pulse frequency ≥4kHz
65% of I
n
for C type Motor Modules with a pulse frequency ≥2.5kHz
8.3.7 Mounting the Motor Module
Overview
Motor Modules are designed for installation in the control cabinet. They are 󹪝xed to the control
cabinet panel or a mounting panel.
Motor Modules
8.3Motor Modules 3 ... 30 A and 2x3 ... 2x18 A
Booksize power units
172 Equipment Manual, 09/2023, A5E53307519B AA

Table of Contents

Related product manuals