EasyManua.ls Logo

GE Multilin F650 - Online Mode

GE Multilin F650
1046 pages
Print Icon
To Next Page IconTo Next Page
To Next Page IconTo Next Page
To Previous Page IconTo Previous Page
To Previous Page IconTo Previous Page
Loading...
4-8 F650 DIGITAL BAY CONTROLLER GEK-106310-AF
4.1 ENERVISTA 650 SETUP SOFTWARE CHAPTER 4: INTERFACES, SETTINGS & ACTUAL VALUES
4.1.4.2 Online mode
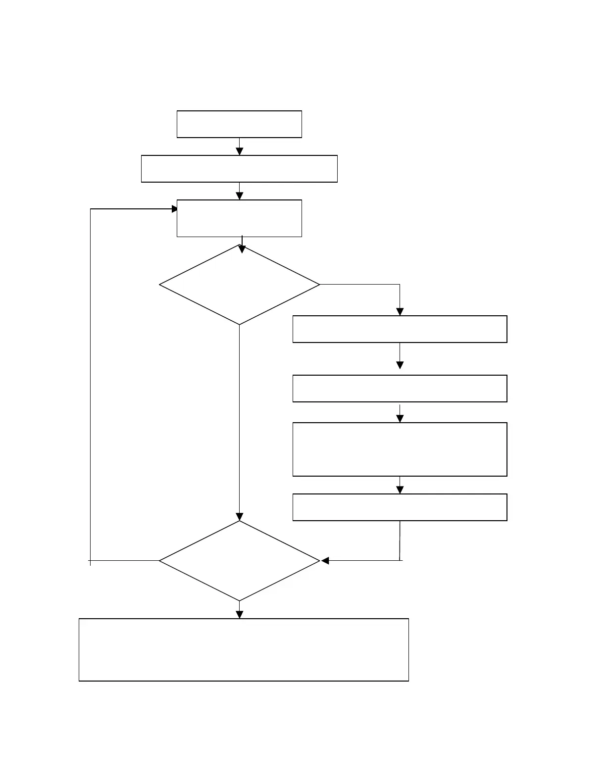
Figure 4-4: Online mode file management
NO
Run EnerVista 650 Setup
Connect to the relay
(
Communication>Com
p
uter>O
N
)
Modify and send to the
relay protection Settings
and rela
y
confi
g
uration
Is it necessary to
program
additional logic?
Launch the Logic Configuration tool in EnerVista
650 Setu
p(
Set
p
oint>Lo
g
ic Confi
g
uration
)
Create new or modify the existing logic
(
File>O
p
en Pro
j
ect
)
Compile (“Run>Compile”)
and save logic file (*.pep) and drawing design
(*.aut) in Logic Configuration tool (“File>Save
Project”)
Send logic to relay (“Run>Send Equations to
Rela
y
)
and Exit PLC Gra
p
hic Edito
r
Is the relay
completely
configured?
Save all settings & configuration (“File>Get info from relay”)
Store in the relay the Logic configuration files (*.pep, *.aut, *.lib) as well as the
*.650 for further logic changes. (“Communication>Upload info files to relay”)
NO
YES
YES

Table of Contents