EasyManua.ls Logo

Siemens SINAMICS G115D

Siemens SINAMICS G115D
600 pages
To Next Page IconTo Next Page
To Next Page IconTo Next Page
To Previous Page IconTo Previous Page
To Previous Page IconTo Previous Page
Loading...
Function description
0RWRULVPDJQHWL]HG
6ZLWFKRQPRWRU
2SHUDWLRQHQDEOHG
2SHQEUDNH
%UDNHLVRSHQ
6SHHGVHWSRLQWU
6SHHGDFWXDOYDOXHU
21
2))RU2))
00
U 
U 
U 
S
S
S
S
S
S
S
W
W
W
W
W
W
W
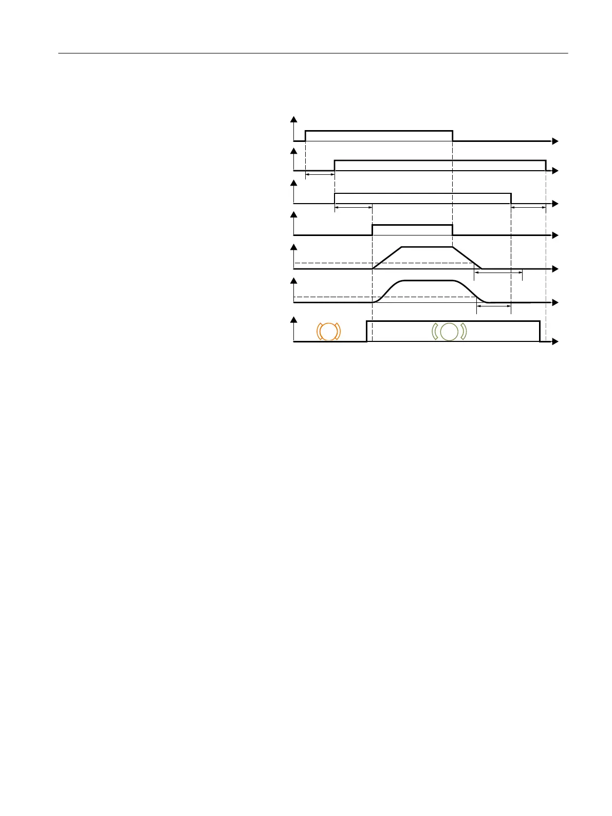
After the ON command
1. With the ON command, the converter switches the motor on.
2. At the end of the "motor excitation build-up time" (p0346), the converter issues the
command to open the brake.
3. The converter keeps the motor at a standstill until the "motor holding brake opening time"
p1216 has ended.
The motor holding brake must be opened within time p1216.
4. The converter accelerates the motor to the speed setpoint.
After the OFF1 or OFF3 command
1. The converter brakes the motor down to a standstill using the OFF1 or OFF3 command.
2. When braking, the converter compares the speed setpoint and the actual speed with the
"standstill detection speed threshold" p1226:
Speed setpoint < p1226: the "standstill detection monitoring time" p1227 starts
Current speed < p1226: the "pulse cancellation deceleration time" p1228 starts
3. When the 󹪝rst of the two times (p1227 or p1228) has elapsed, the converter issues the
command to close the brake.
4. After the "motor holding brake closing time" p1217, the converter switches o󹪜 the motor.
The motor holding brake must close within the time p1217.
After the OFF2 command
After the OFF2 command, the converter issues the signal to immediately close the motor
holding brake, irrespective of the motor speed.
Advanced commissioning
7.11Motor holding brake
SINAMICS G115D Wall Mounted distributed drive
Operating Instructions, 07/2023, FW V4.7 SP14, A5E52808211A AA 225

Table of Contents

Related product manuals