EasyManua.ls Logo

Siemens SINAMICS G115D - Page 320

Siemens SINAMICS G115D
600 pages
To Next Page IconTo Next Page
To Next Page IconTo Next Page
To Previous Page IconTo Previous Page
To Previous Page IconTo Previous Page
Loading...
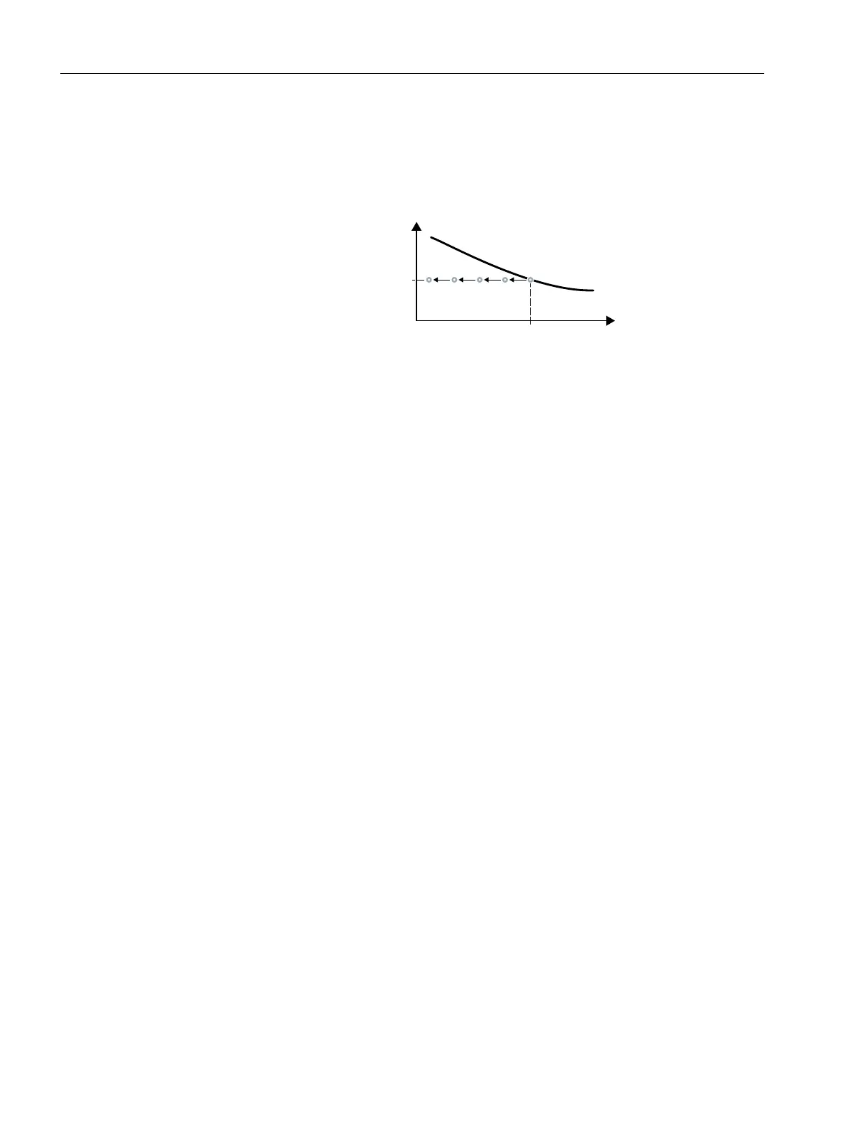
The converter responds in 2 stages:
1. If you operate the converter with increased pulse frequency setpoint p1800, then the
converter reduces its pulse frequency starting at p1800.
In spite of the temporarily reduced pulse frequency, the base-load output current remains
unchanged at the value that is assigned to parameter p1800.
3XOVHIUHTXHQF\
%DVHORDGRXWSXWFXUUHQW
%DVHORDGRXWSXWFXUUHQWIRUD
WHPSRUDULO\UHGXFHGSXOVHIUHTXHQF\
S
Once the overload condition has been removed, the converter increases the pulse frequency
back to the pulse frequency setpoint p1800.
2. If it is not possible to temporarily reduce the pulse frequency, or the risk of thermal overload
cannot be prevented, then stage 2 follows:
In vector control, the converter reduces its output current.
In U/f control, the converter reduces the speed.
Once the overload condition has been removed, the converter re-enables the output current
or speed.
If both measures cannot prevent a power unit thermal overload, then the converter switches
o󹪜 the motor with fault F30024.
Overload response for p0290=3
If you operate the converter with increased pulse frequency, then the converter reduces its
pulse frequency starting at the pulse frequency setpoint p1800.
In spite of the temporarily reduced pulse frequency, the maximum output current remains
unchanged at the value that is assigned to the pulse frequency setpoint. Also see p0290=2.
Once the overload condition has been removed, the converter increases the pulse frequency
back to the pulse frequency setpoint p1800.
If it is not possible to temporarily reduce the pulse frequency, or the measure cannot prevent
a power unit thermal overload, then the converter switches o󹪜 the motor with fault F30024.
Advanced commissioning
7.23Converter protection using temperature monitoring
SINAMICS G115D Wall Mounted distributed drive
318 Operating Instructions, 07/2023, FW V4.7 SP14, A5E52808211A AA

Table of Contents

Related product manuals