EasyManua.ls Logo

Dell 3115CN - Page 145

Dell 3115CN
823 pages
Print Icon
To Next Page IconTo Next Page
To Next Page IconTo Next Page
To Previous Page IconTo Previous Page
To Previous Page IconTo Previous Page
Loading...
1‑119
Chapter 1 Troubleshooting
Version 2 2007.05.22
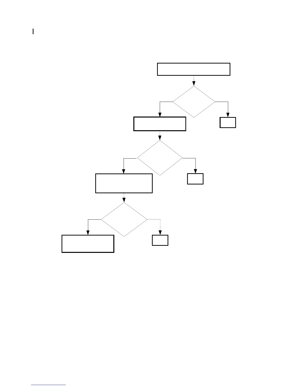
FIP-1. 33 Restart Printer 093-964
No
Yes
Possible causative parts:FUSER ASSY (PL6.1.10)
PWBA MCU (PL9.1.20)
Checking the FUSER ASSY installation
Reseat the FUSER ASSY.
Checking the FUSER
ASSY type
No
Yes
Does the error still
occur when turning
on the power?
END
END
Checking after replacing the
FUSER ASSY
Replace the FUSER ASSY.
No
Yes
Does the error still
occur when turning
on the power?
Replace the PWBA MCU.
(Removal 67/Replacement
55)
END
Is the FUSER ASSY
installed the 3115cn
FUSER?

Table of Contents

Other manuals for Dell 3115CN

Related product manuals