EasyManua.ls Logo

Dell 3115CN - Fip-1; Fip-1. 51 Ready to Print

Dell 3115CN
823 pages
Print Icon
To Next Page IconTo Next Page
To Next Page IconTo Next Page
To Previous Page IconTo Previous Page
To Previous Page IconTo Previous Page
Loading...
1‑153
Chapter 1 Troubleshooting
Version 1 2006.11.21
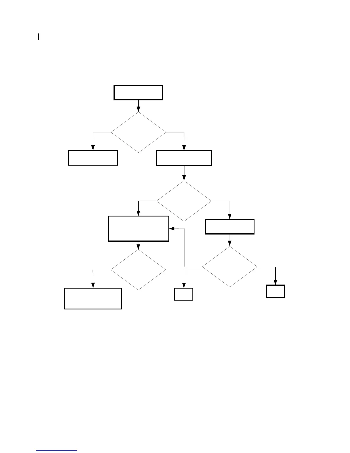
FIP-1. 51 Ready to Print 093-423
Possible causative parts:CARTRIDGE ASSY Y (PL5.1.21)
PWBA MCU (PL9.1.20)
END
Yes
No
Is the life counter
going to reach the
replacement time?
Confirming the toner
life counter.
Replace the Toner
Cartridge.
Yes
No
Is the toner cartridge
installed correctly?
Checking toner
cartridge installation.
Does the error still
occur when the
power is turned ON?
No
Does the error still
occur when the
power is turned ON?
Yes
No
Replace the PWBA
MCU. (Removal 67/
Replacement 55)
END
Reseat the toner
cartridge.
Yes
Checking after replacing
the toner cartridge.
Replace the toner
cartridge.

Table of Contents

Other manuals for Dell 3115CN

Related product manuals