EasyManua.ls Logo

Dell 3115CN - Fip-1. 92 Copy Scan Fax

Dell 3115CN
823 pages
Print Icon
To Next Page IconTo Next Page
To Next Page IconTo Next Page
To Previous Page IconTo Previous Page
To Previous Page IconTo Previous Page
Loading...
1‑202
Chapter 1 Troubleshooting
Version 2 2007.05.22
FIP-1. 92 Copy Scan Fax 193-700
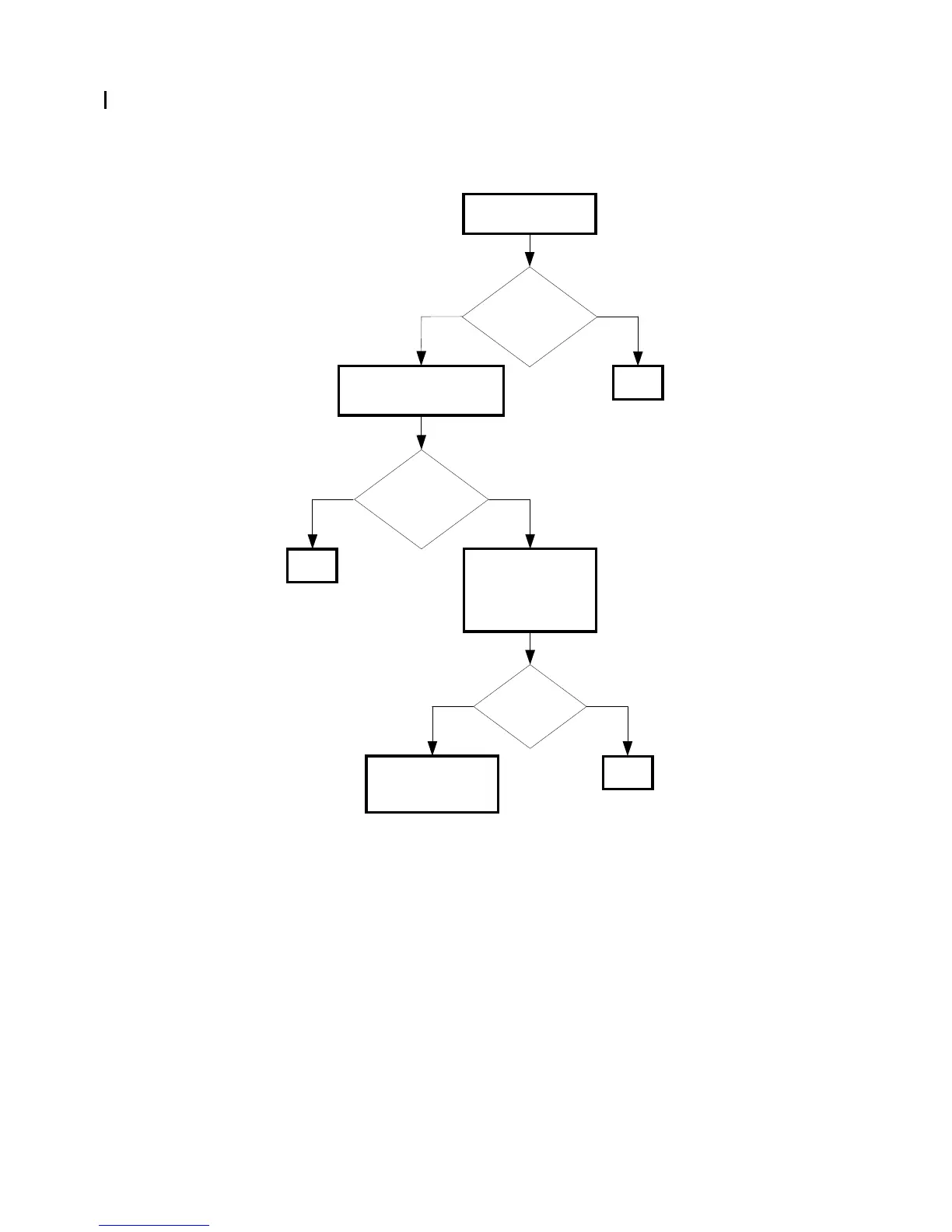
No
Yes
Possible causative parts:PWBA ESS (PL13.4.20)
Checking the Toner
Cartridge.
Checking the PWBA ESS.
Cancel the non DELL toner
mode by the control panel.
NoYes
END
Is the installed
toner cartridge to
the printer the
DELL toner?
Does the message
on the LCD turn off
the non DELL
toner?
END
Checking after
replacing the toner
cartridge.
Replace the toner
cartridge.
Replace the PWBA
ESS. (Removal 61/
Replacement 61)
Does the error
still occur when
printing?
NoYes
END

Table of Contents

Other manuals for Dell 3115CN

Related product manuals