EasyManua.ls Logo

Dell 3115CN - Fip-1

Dell 3115CN
823 pages
Print Icon
To Next Page IconTo Next Page
To Next Page IconTo Next Page
To Previous Page IconTo Previous Page
To Previous Page IconTo Previous Page
Loading...
1‑192
Chapter 1 Troubleshooting
Version 2 2007.05.22
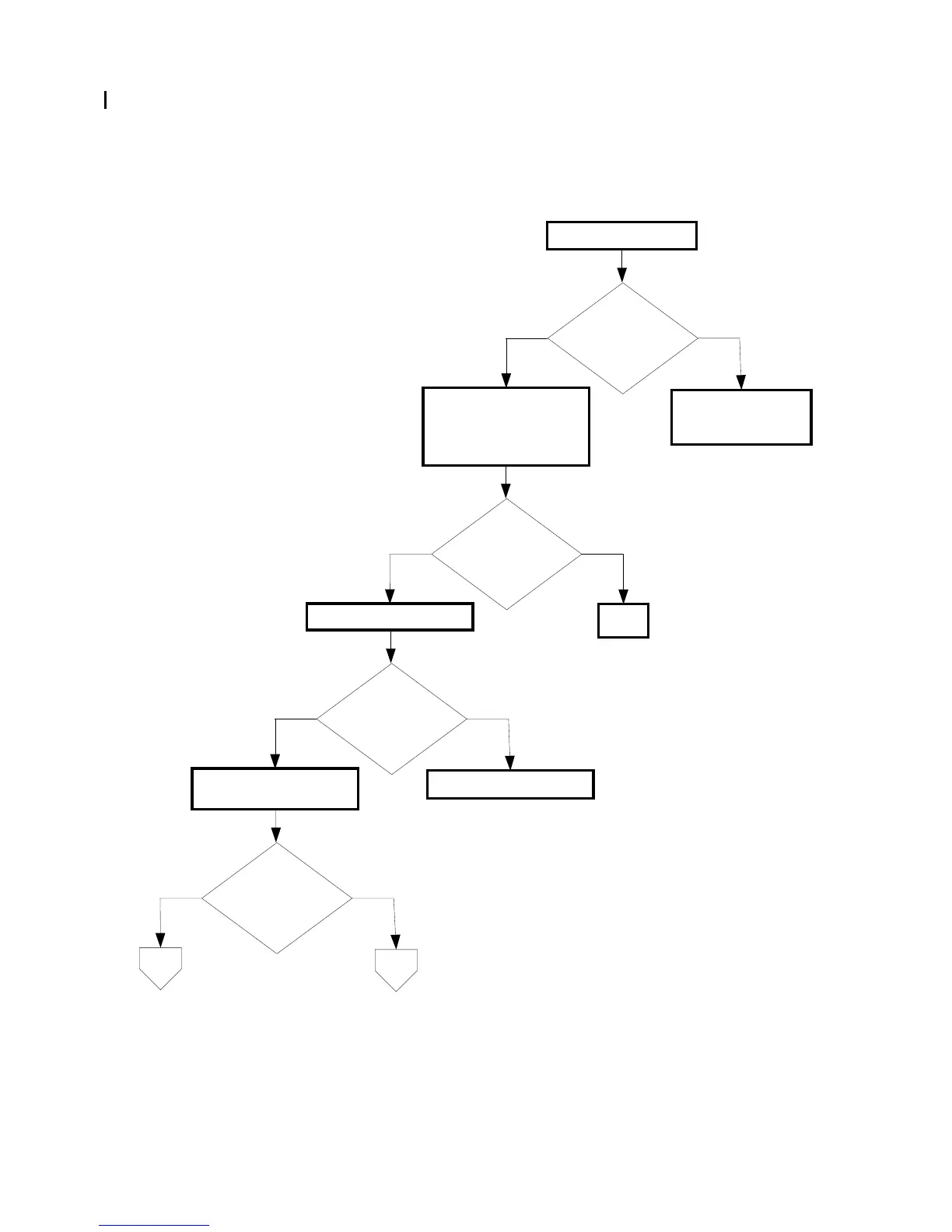
FIP-1. 84 Paper Jam 005-110/005-121
Possible causative parts: PWBA HYUI (PL13.4.1)
ADF SCANNER ASSY (PL13.8.1)
ADF FEED ROLLER (PL13.8.4)
Checking the document
Does the document
meet the ADF spec.?
NoYes
Checking the connector
connection
Reseat the connectors (P/
J60,62,63,64,65) on the
PWBA HYUI.
Does the error still
occur when copying?
NoYes
END
Checking the ADF
Use the platen mode
or change the paper
type.
Is the ADF closed
against platen glass
completely?
NoYes
Checking the paper
feeding
Close the ADF
Does the ADF feed
the document?
NoYes
A
B

Table of Contents

Other manuals for Dell 3115CN

Related product manuals