EasyManua.ls Logo

Dell 3115CN - Fip-1. 93 Electrical Noise

Dell 3115CN
823 pages
Print Icon
To Next Page IconTo Next Page
To Next Page IconTo Next Page
To Previous Page IconTo Previous Page
To Previous Page IconTo Previous Page
Loading...
1‑203
Chapter 1 Troubleshooting
Version 2 2007.05.22
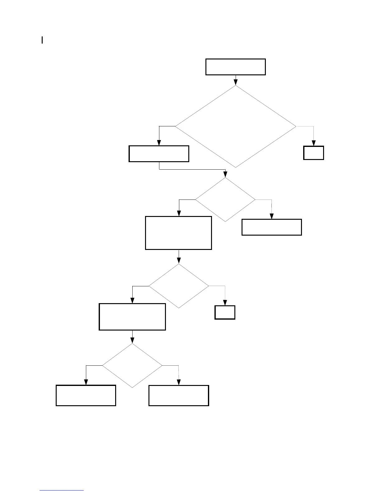
FIP-1. 93 Electrical Noise
No
Yes
Checking the external
noise
Checking the AC
ground
Is AC power supply
outlet wired and
grounded
appropriately?
NoYes
Request the client to fix
AC power supply outlet.
Does the electrical
noise error still
occur?
NoYes
Checking the BIAS ASSY
contact. (PL5.1.13)
Remove the all toner
cartridges.
Are there any stains
or foreign substance
on the contact?
NoYes
Checking the toner
cartridges and BELT ASSY
installation
Reseat the toner cartridges
and BELT ASSY.
END
END
Reseat the HVPS.
(Removal 32/
Replacement 14)
Wipe the stains or
foreign substance with
dry cloth.
Are there any other
electrical appliances within 3meters
of the printer, such as generators, radio
and appliances with motors?
Ether turn off the other electrical appliances,
or relocate the printer at least 6meters from
other appliances.
Does the electrical noise
error still occur?

Table of Contents

Other manuals for Dell 3115CN

Related product manuals