EasyManua.ls Logo

Dell 3115CN - Fip-1. 81 Illegal Settings (Copy Dup Size Limit)

Dell 3115CN
823 pages
Print Icon
To Next Page IconTo Next Page
To Next Page IconTo Next Page
To Previous Page IconTo Previous Page
To Previous Page IconTo Previous Page
Loading...
1‑188
Chapter 1 Troubleshooting
Version 2 2007.05.22
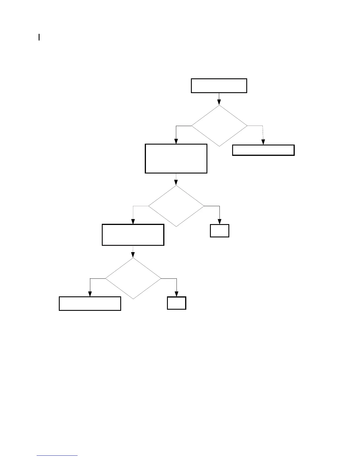
FIP-1. 81 Illegal Settings (Copy Dup Size Limit)
Possible causative parts: PWBA MCU (PL9.1.20)
PWBA HYUI (PL13.4.1)
PWBA ESS (PL13.4.20)
Checking the paper
size
Does the paper size
meet the duplex
spec.?
NoYes
Checking the connector
connection
Reseat the connectors (P/
J60,62,63,64,65) on the
PWBA HYUI.
Does the error still
occur when copying?
NoYes
END
Checking the PWBA ESS
installation
Reseat the PWBA ESS.
Change the paper size.
Does the error still
occur when copying?
NoYes
END
Reseat the PWBA MCU.

Table of Contents

Other manuals for Dell 3115CN

Related product manuals