EasyManua.ls Logo

Dell 3115CN - Fip-1; Fip-1. 67 Network Not Ready

Dell 3115CN
823 pages
Print Icon
To Next Page IconTo Next Page
To Next Page IconTo Next Page
To Previous Page IconTo Previous Page
To Previous Page IconTo Previous Page
Loading...
1‑171
Chapter 1 Troubleshooting
Version 1 2006.11.21
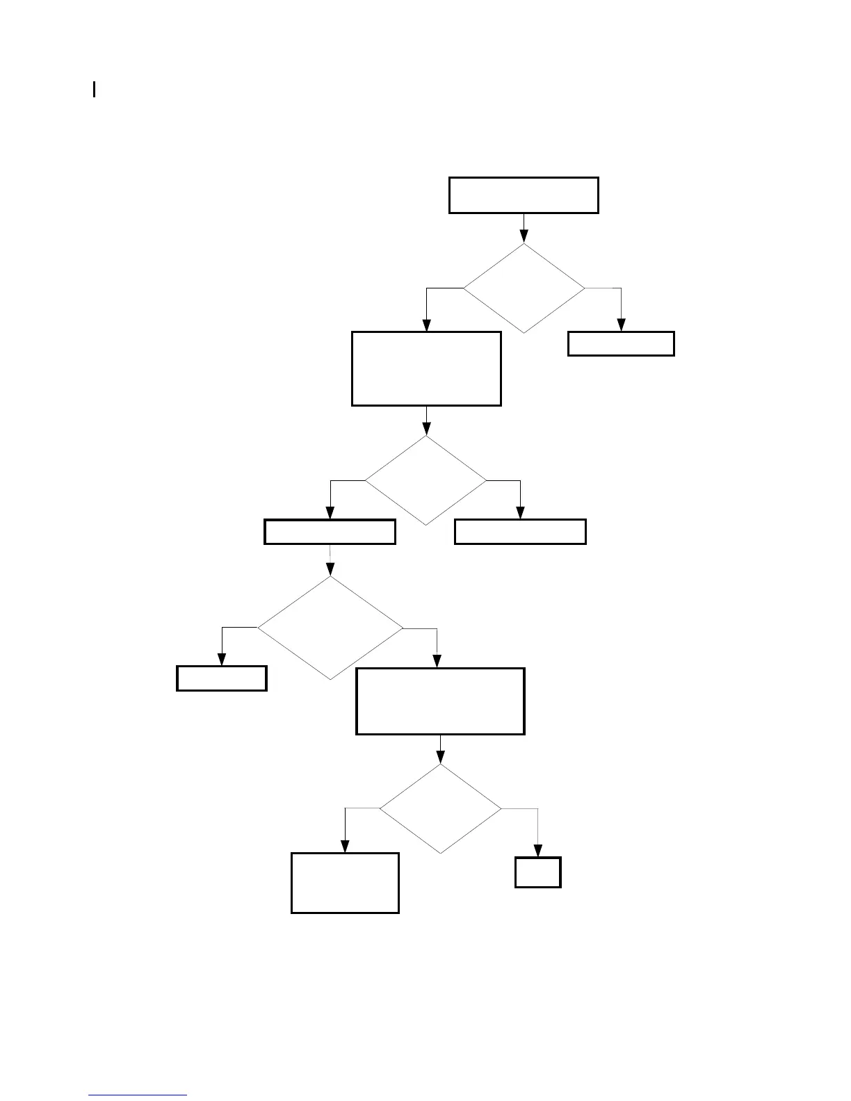
FIP-1. 67 Network Not Ready 016-794
NoYes
Possible Causative parts:PWBA ESS (PL13.4.20)
Checking the network
setting of the PC
Checking the printer
setting
Check that the setting of
the wired network on the
Admin menu.
No
Yes
Is the setting
correct?
Is the setting
correct?
Set the network.
Does the error still
occur when turning
on the power?
END
NoYes
Set the wired network.
Checking the PWBA ESS
installation
Reseat the PWBA ESS.
(Removal 61/Replacement 61)
Replace the
PWBA ESS.
(Removal 61/
Replacement 61)
Checking the setting
In [Protocol] under
[Wired Network], is
[SMB TCP/IP] set to
"Disable"?
Yes
Set to Enable
No

Table of Contents

Other manuals for Dell 3115CN

Related product manuals