EasyManua.ls Logo

Dell 3115CN - Fip-1

Dell 3115CN
823 pages
Print Icon
To Next Page IconTo Next Page
To Next Page IconTo Next Page
To Previous Page IconTo Previous Page
To Previous Page IconTo Previous Page
Loading...
1‑175
Chapter 1 Troubleshooting
Version 2 2007.05.22
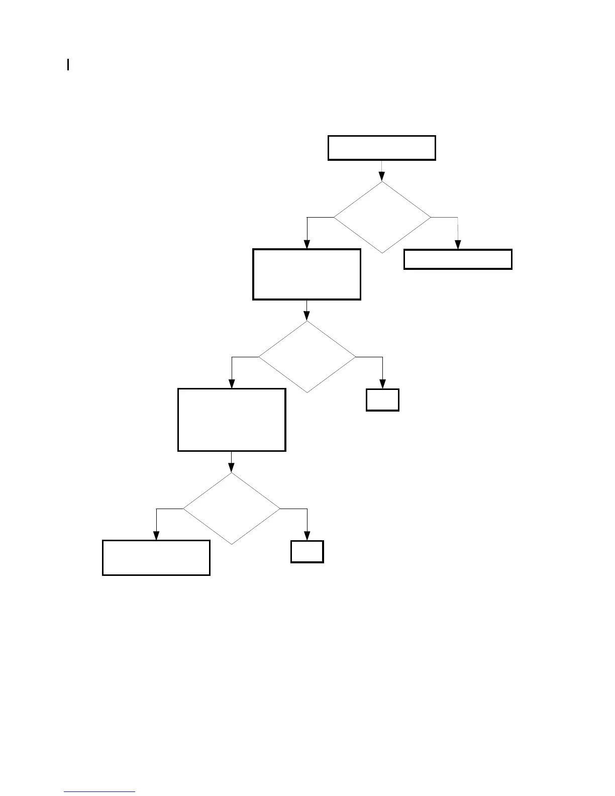
FIP-1. 70 Codec Error 033-501 / Communication 034-515/035-792
Possible causative parts: PWBA HYUI (PL13.4.1)
ADF SCANNER ASSY (PL13.8.1)
Checking the customer
operation
Does the customer
operate the fax
correctly?
NoYes
Checking the connector
connection
Reseat the connectors (P/
J60,62,63,64,65) on the
PWBA HYUI.
Does the error still
occur when faxing?
NoYes
END
Checking after replacing
the ADF SCANNER ASSY
Replace the ADF
SCANNER ASSY.
(Removal 72/Replacement
50)
Does the error still
occur when turning
on the power?
NoYes
END
Replace the PWBA HYUI.
(Removal64/Replacement
58)
Re-operate the fax.

Table of Contents

Other manuals for Dell 3115CN

Related product manuals