EasyManua.ls Logo

Dell 3115CN - Page 169

Dell 3115CN
823 pages
Print Icon
To Next Page IconTo Next Page
To Next Page IconTo Next Page
To Previous Page IconTo Previous Page
To Previous Page IconTo Previous Page
Loading...
1‑143
Chapter 1 Troubleshooting
Version 1 2006.11.21
A
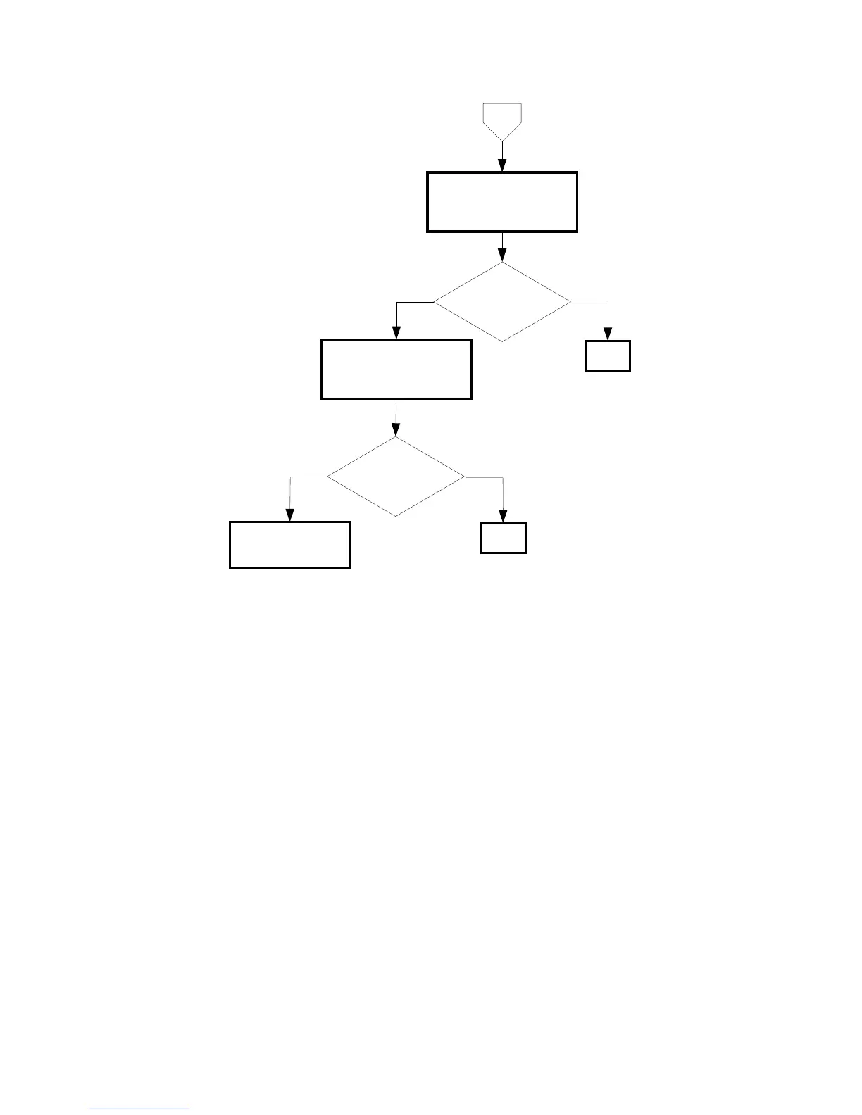
Checking the paper
cassette guide
Reseat the end guide of
paper cassette.
No
Yes
No
Yes
Replace the PWBA
MCU. (Removal 67/
Replacement 55)
Does the error still
occur when printing?
END
Does the error still
occur when printing?
END
Checking after replacing
the paper cassette.
Replace the paper
cassette.

Table of Contents

Other manuals for Dell 3115CN

Related product manuals