EasyManua.ls Logo

Dell 3115CN - Page 320

Dell 3115CN
823 pages
Print Icon
To Next Page IconTo Next Page
To Next Page IconTo Next Page
To Previous Page IconTo Previous Page
To Previous Page IconTo Previous Page
Loading...
1‑294
Chapter 1 Troubleshooting
Version 1 2006.11.21
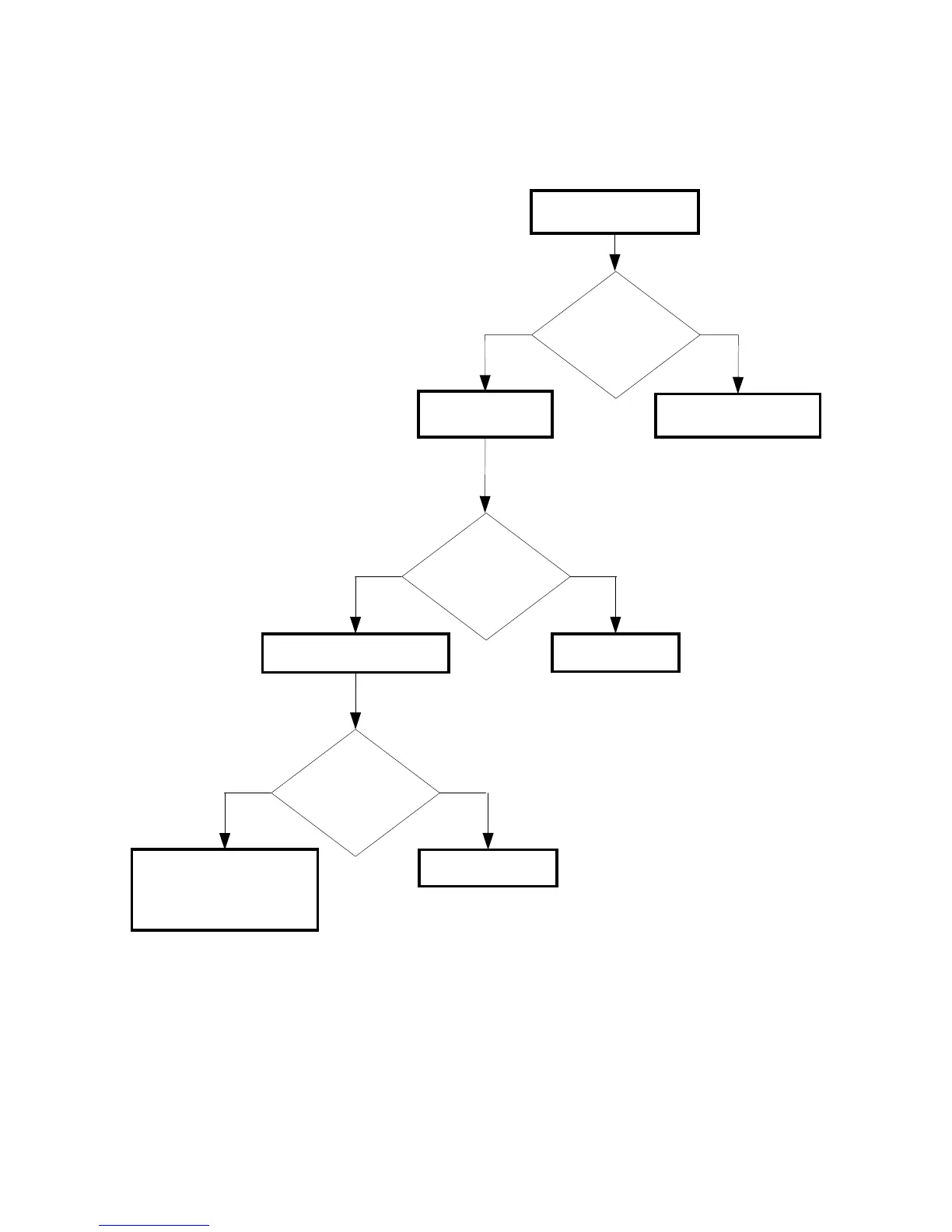
Possible causative parts: ADF SCANNER ASSY (PL13.8.1)
Checking the document
Does the document
meet the ADF spec ?
NoYes
Checking the ADF
Is the ADF closed
against platen glass
completely?
NoYes
Close the ADF.
Checking the installation
status
Use the platen mode or
change the paper type
Is the printer installed
on a flat steady
surface?
NoYes
Reinstall the printer.
Replace the ADF
SCANNER ASSY.
(Removal 72/Replacement
50)

Table of Contents