EasyManua.ls Logo

PerkinElmer LabChip GX - Peak Identification

PerkinElmer LabChip GX
346 pages
Print Icon
To Next Page IconTo Next Page
To Next Page IconTo Next Page
To Previous Page IconTo Previous Page
To Previous Page IconTo Previous Page
Loading...
Understanding Peak Finding 113
V4.2 LabChip GX User Manual PerkinElmer
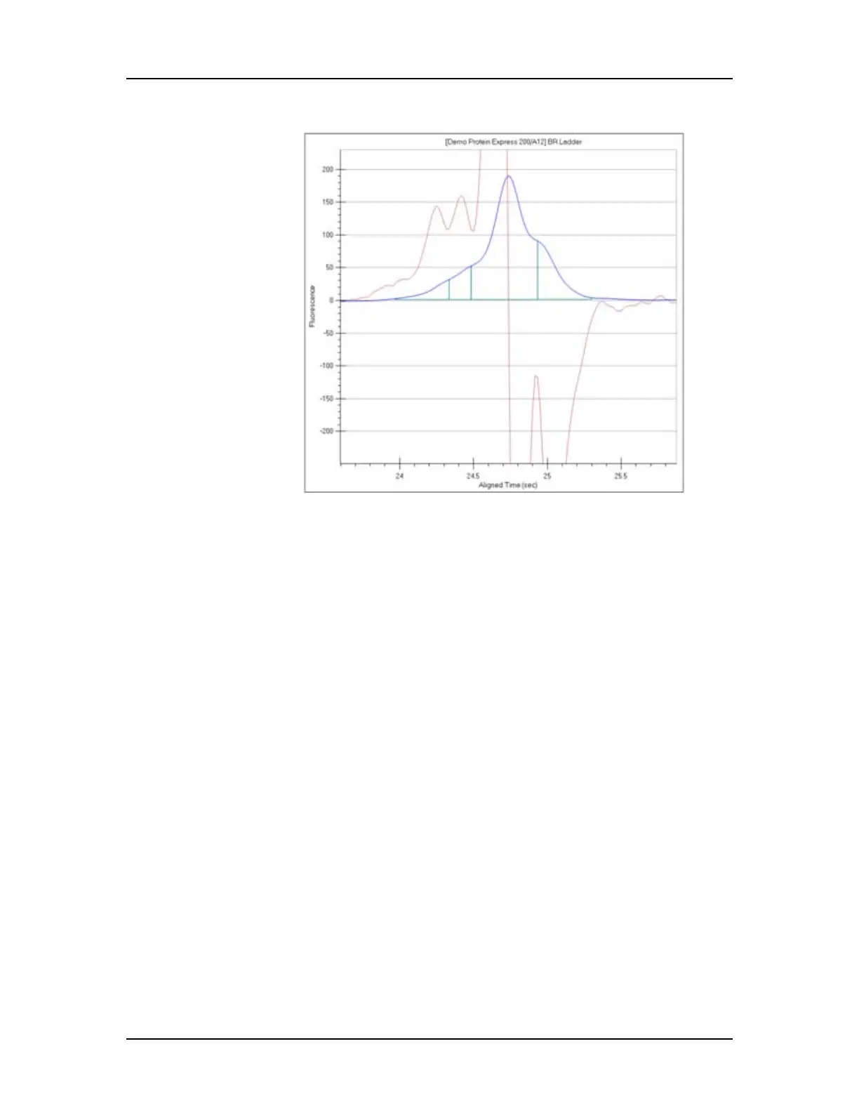
Figure 51. Inflection Threshold
Peak Identification
Peak identification involves generation of a peak baseline using the
Slope Threshold and Baseline Plateau, detection of each peak
using Slope and Inflection Thresholds, and then discarding peaks
using the Minimum Height and Minimum Width thresholds. This
process only occurs between the Start Time and End Time peak find
properties. The Minimum Height threshold sets the minimum peak
baseline-to-peak apex value needed for a peak to be identified by
the analysis. The Minimum Width is the minimum left edge-to-right
edge value needed for a peak to be identified.

Table of Contents

Related product manuals