EasyManua.ls Logo

Dell 3115CN - Page 116

Dell 3115CN
823 pages
Print Icon
To Next Page IconTo Next Page
To Next Page IconTo Next Page
To Previous Page IconTo Previous Page
To Previous Page IconTo Previous Page
Loading...
1‑90
Chapter 1 Troubleshooting
Version 1 2006.11.21
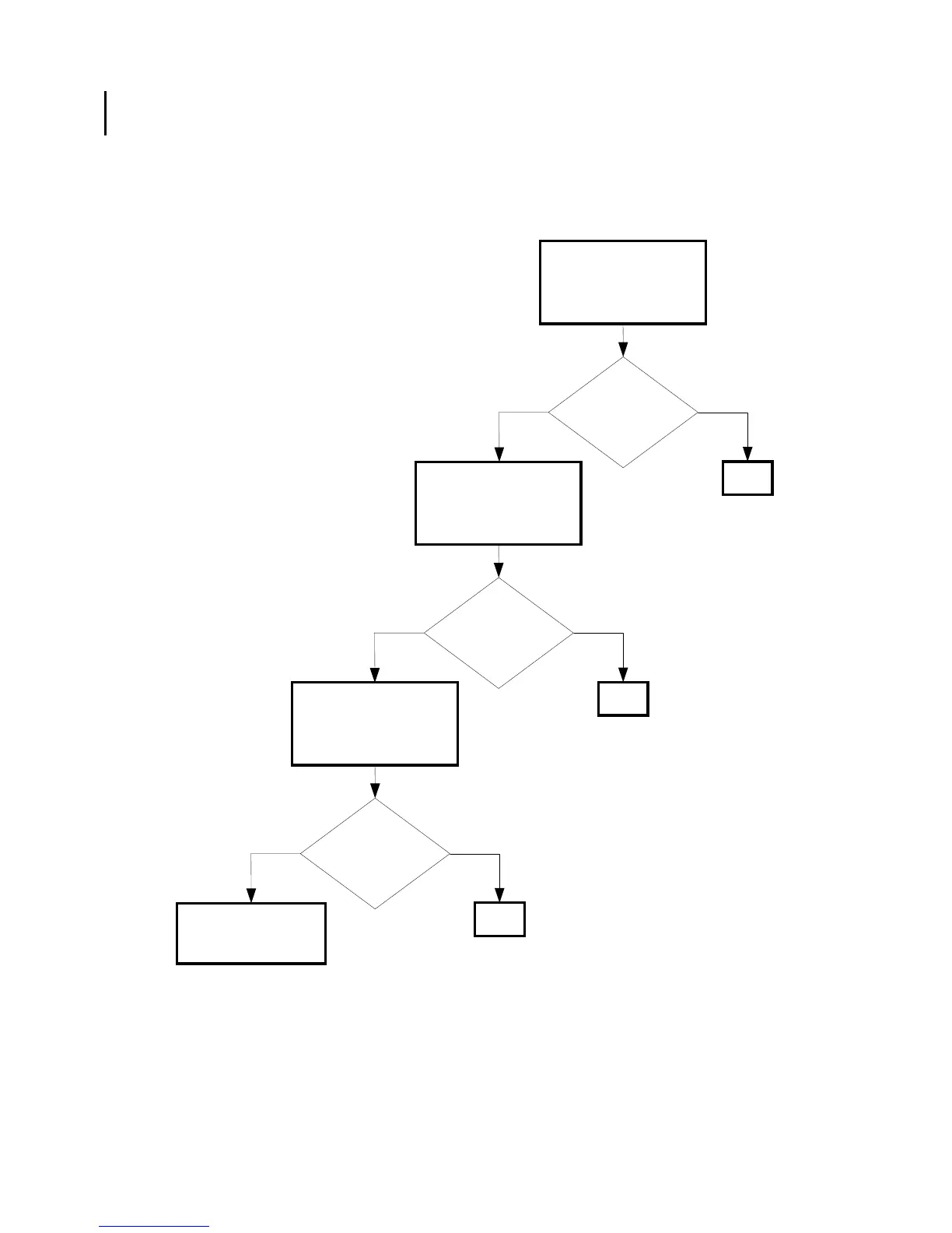
FIP-1. 7 Restart Printer 006-370/006-371/006-372/006-373/006-374/006-375/006-376/
006-377/006-378/006-379/006-380/006-381/006-382/006-383/006-384
Possible causative parts:ROS ASSY (PL13.3.12)
PWBA MCU (PL9.1.20)
Yes
No
Checking after replacing
the ROS ASSY
Replace the ROS ASSY.
(Removal 34/Replacement
12)
Replace the PWBA
MCU. (Removal 67/
Replacement 55)
Does the error still
occur when turning on
the power?
END
Yes
No
Checking the ROS ASSY
installation
Reseat the ROS ASSY.
(Removal 34/Replacement
12)
Does the error still
occur when turning on
the power?
END
Yes
No
Checking the PWBA MCU
installation
Reseat the PWBA MCU.
(Removal 67/Replacement
55)
Does the error still
occur when turning on
the power?
END

Table of Contents

Other manuals for Dell 3115CN

Related product manuals