EasyManua.ls Logo

Dell 3115CN - Page 125

Dell 3115CN
823 pages
Print Icon
To Next Page IconTo Next Page
To Next Page IconTo Next Page
To Previous Page IconTo Previous Page
To Previous Page IconTo Previous Page
Loading...
1‑99
Chapter 1 Troubleshooting
Version 1 2006.11.21
A
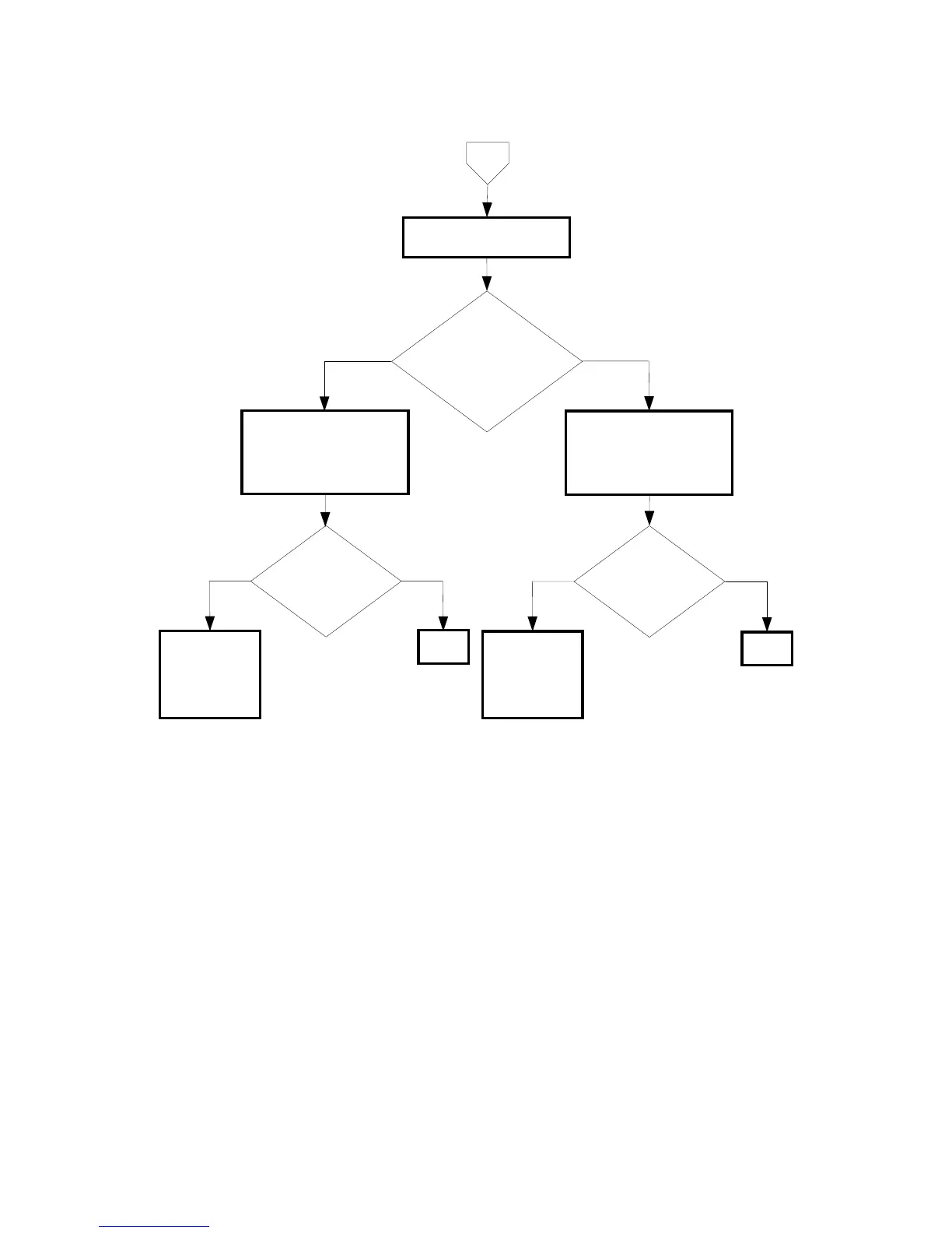
Checking after replacing the
DRIVE ASSY MAIN.
Replace the DRIVE ASSY
MAIN. (Removal
36/Replacement 10)
NoYes
Replace the
PWBA MCU .
(Removal
67/Replaceme
nt 55)
Checking the Deve Motor for
operation.
NoYes
Does the Deve Motor rotate
normally?
Checked by [Digital Output] -
[DO-f] in [IOT
Diagnosis].
Does the error still
occur when turning on
the power?
END
Checking after replacing the
corresponding CARTRIDGE
ASSY
Replace the CARTRIDGE
ASSY .
Does the error still
occur when turning on
the power?
NoYes
END
Replace the
ROS ASSY.
(Removal
34/Replaceme
nt 12)

Table of Contents

Other manuals for Dell 3115CN

Related product manuals