EasyManua.ls Logo

Dell 3115CN - Page 166

Dell 3115CN
823 pages
Print Icon
To Next Page IconTo Next Page
To Next Page IconTo Next Page
To Previous Page IconTo Previous Page
To Previous Page IconTo Previous Page
Loading...
1‑140
Chapter 1 Troubleshooting
Version 1 2006.11.21
B
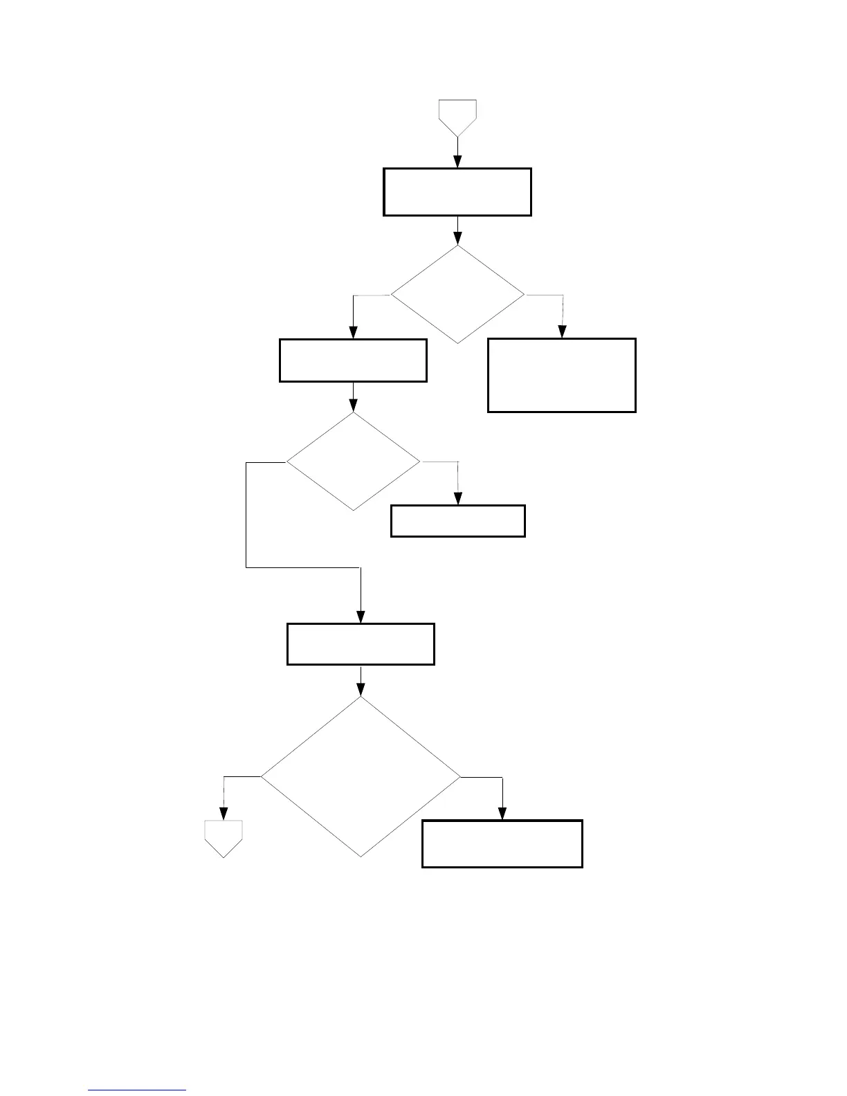
A
Checking the shape and
installation of the Chute
Exit Out (refer to PL6.1.1)
No
Yes
Checking the shape and
installation of the Chute
MSI. (Refer to PL3.1.14)
No
Yes
Checking the Dup Jam
Sensor for operation
No
Yes
Reseat the Chute Exit Out.
If broke, replace the KIT
COVER ASSY FRONT.
(Removal 67/Replacement
55)
Reseat the Chute MSI.
Replace the CHUTE ASSY
DUP. (Removal 5/
Replacement 41)
Does the number
on the screen increase by one,
every time the actuator of the exit
sensor is operated?
Checked by [Digital Input]-[DI-1]
in [IOT Diagnosis].
Are shape and the
installation of the
Chute Exit Out?
Are shape and the
installation of the
Chute MSI?

Table of Contents

Other manuals for Dell 3115CN

Related product manuals