EasyManua.ls Logo

Dell 3115CN - Page 239

Dell 3115CN
823 pages
Print Icon
To Next Page IconTo Next Page
To Next Page IconTo Next Page
To Previous Page IconTo Previous Page
To Previous Page IconTo Previous Page
Loading...
1‑213
Chapter 1 Troubleshooting
Version 1 2006.11.21
A
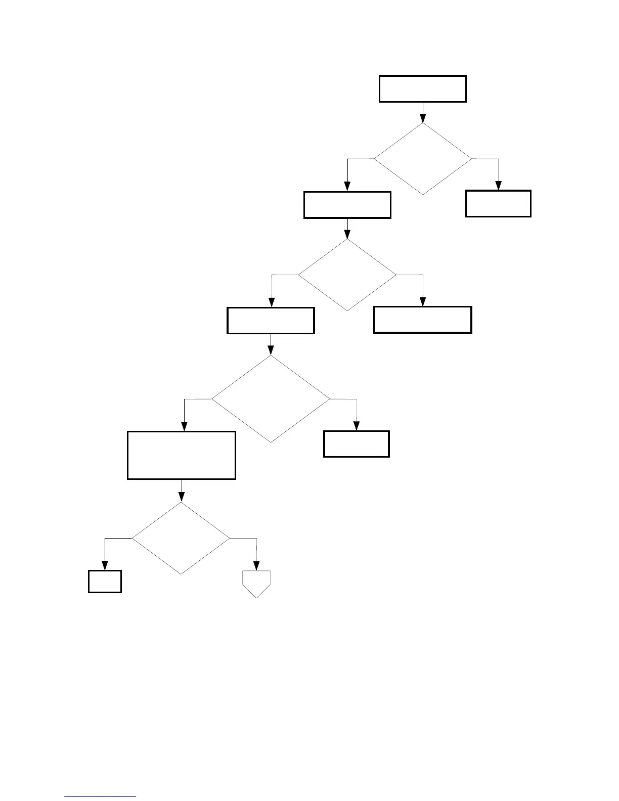
Is the installed toner
cartridge the DELL
toner?
NoYes
Checking the toner
cartridge installation.
Replace to the
DELL toner.
Is the installed paper
with a new and dry
one?
NoYes
Checking the paper
Replace the paper with
a new and dry one.
NoYes
Checking the toner
cartridge
Check the
printing data
Is there the faint toner?
Checked by [Test Print]-
[Toner Pallet Check] in
diagnosis.
NoYes
Is the image printed
correctly?
END
Checking the TRANSFER
ASSY installation
Reseat the TRANSFER
ASSY.

Table of Contents

Other manuals for Dell 3115CN

Related product manuals