EasyManua.ls Logo

Dell 3115CN - Page 245

Dell 3115CN
823 pages
Print Icon
To Next Page IconTo Next Page
To Next Page IconTo Next Page
To Previous Page IconTo Previous Page
To Previous Page IconTo Previous Page
Loading...
1‑219
Chapter 1 Troubleshooting
Version 1 2006.11.21
B
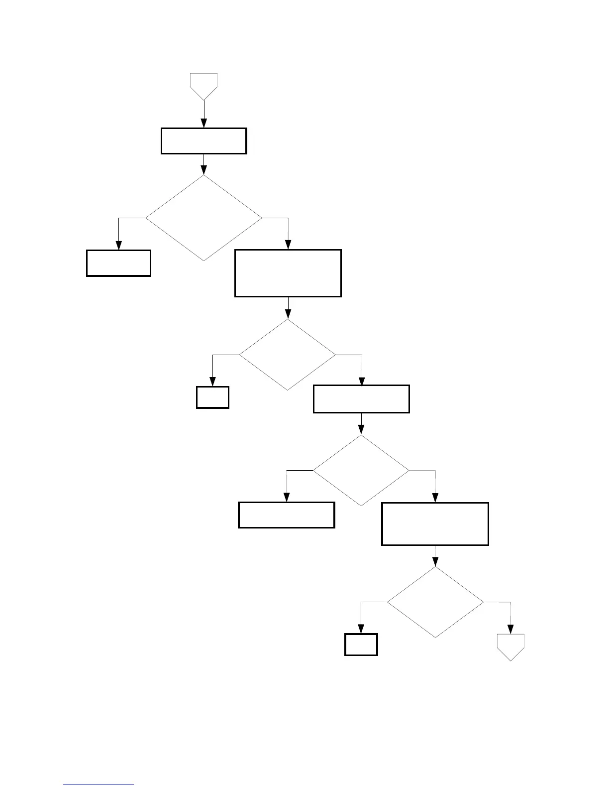
Are there any
foreign substance
between the ROS
ASSY and the
drum?
NoYes
Checking the laser
beam path.
Remove the foreign
substance
No
Yes
Checking the connection of
the ROS ASSY.
Reseat the connector (P/J
151) of the ROS ASSY.
Is the image printed
correctly?
END
NoYes
Checking the printer
Is the image printed
correctly?
Checked by [Test Print]-
[Toner Pallet Check] in
diagnosis.
NoYes
Is the image printed
correctly?
END
Checking the TRANSFER
ASSY installation
Reseat the TRANSFER
ASSY.
Check the
printing data
C

Table of Contents

Other manuals for Dell 3115CN

Related product manuals