EasyManua.ls Logo

Dell 3115CN - Page 246

Dell 3115CN
823 pages
Print Icon
To Next Page IconTo Next Page
To Next Page IconTo Next Page
To Previous Page IconTo Previous Page
To Previous Page IconTo Previous Page
Loading...
1‑220
Chapter 1 Troubleshooting
Version 1 2006.11.21
C
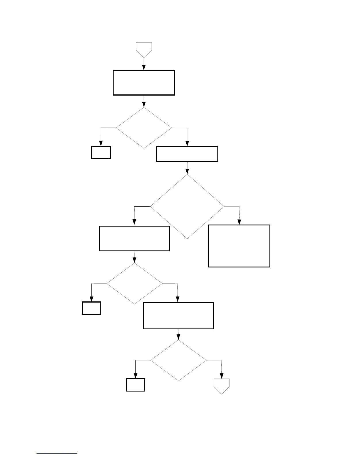
Checking the PWBA MCU
installation
Reseat the PWBA MCU.
(Removal 67/Replacement 55)
Is the image printed
correctly?
NoYes
END
Checking the PWBA ESS
installation
Reseat the PWBA ESS.
(Removal 61/Replacement 61)
Is the image printed
correctly?
NoYes
END
NoYes
Checking the TONER
DISPENSE MOTOR.
Does the TONER
DISPENSE MOTOR rotate
normally? Checked by
[Digital Output]-[DO-21(Y)/
23(M)/25(C)/27(K) in [IOT
Diagnosis].
Replace the PWBA MCU.
(Removal 67/Replacement
55)
If not, replace the TONER
DISPENSE MOTOR.
(Removal 26/Replacement
20)
No
Yes
Checking the toner
cartridge installation
Reseat the four toner
cartridges.
Is the image printed
correctly?
END
D

Table of Contents

Other manuals for Dell 3115CN

Related product manuals