EasyManua.ls Logo

Dell 3115CN - Page 326

Dell 3115CN
823 pages
Print Icon
To Next Page IconTo Next Page
To Next Page IconTo Next Page
To Previous Page IconTo Previous Page
To Previous Page IconTo Previous Page
Loading...
1‑300
Chapter 1 Troubleshooting
Version 1 2006.11.21
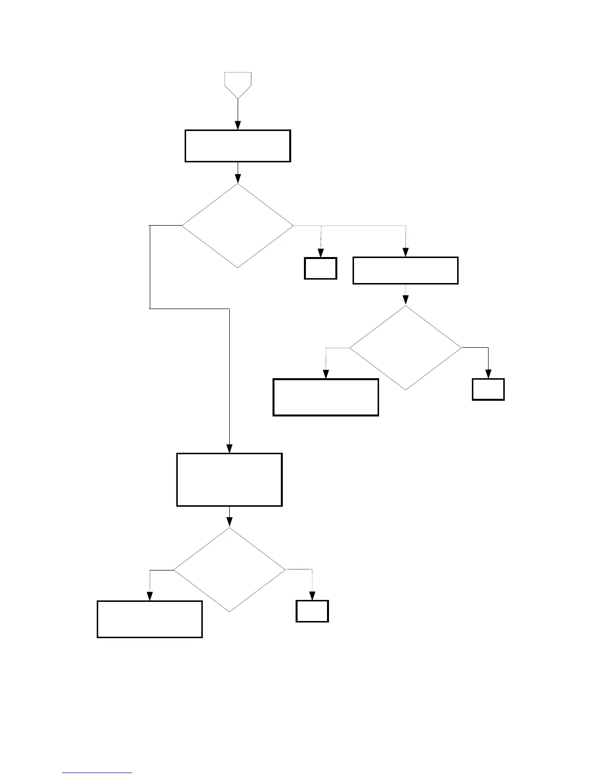
D
Checking the DRIVE ASSY
PH.
No
Yes
Checking the DRIVE ASSY
PH installation
Reseat the DRIVE ASSY
PH. (Removal 15/
Replacement 31)
No
Yes
Try replacing the DRIVE
ASSY PH. (Removal 15/
Replacement 31)
END
Does the noise
arise from the printer?
Checked by [Digital
Output]-[DO-a] in [IOT
Diagnosis].
Does the noise
arise from the printer?
Checked by [Digital
Output]-[DO-a] in [IOT
Diagnosis].
No
Yes
Try replacing the Option
Feeder ASSY. (Removal
43/Replacement 4)
END
Does the noise
arise from the printer?
Checked by [Digital
Output]-[DO-19] in [IOT
Diagnosis].
END
Checking the Option
Feeder Motor
If the option tray
attached

Table of Contents