EasyManua.ls Logo

Dell 3115CN - Page 333

Dell 3115CN
823 pages
Print Icon
To Next Page IconTo Next Page
To Next Page IconTo Next Page
To Previous Page IconTo Previous Page
To Previous Page IconTo Previous Page
Loading...
1‑307
Chapter 1 Troubleshooting
Version 1 2006.11.21
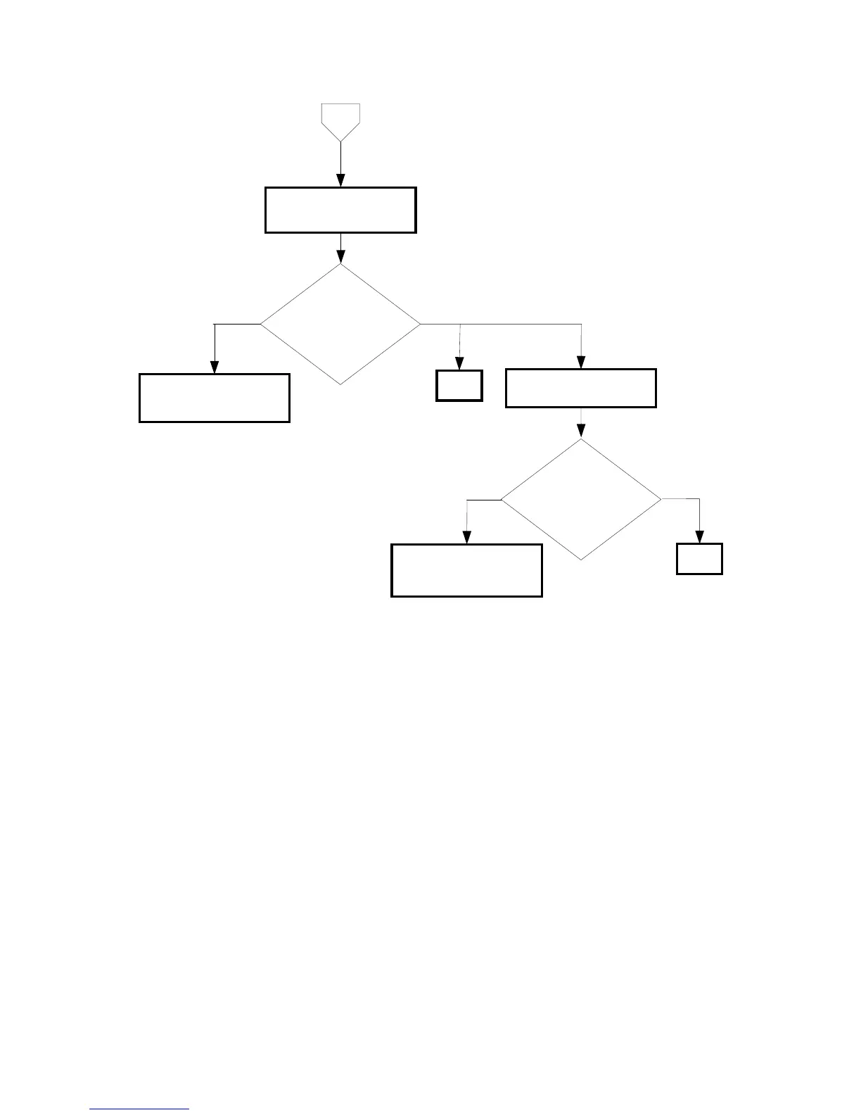
Checking the DRIVE ASSY
PH.
No
Yes
Try replacing the DRIVE
ASSY PH. (Removal 15/
Replacement 31)
Does the noise
arise from the printer?
Checked by [Digital
Output]-[DO-a] in [IOT
Diagnosis].
No
Yes
Try replacing the Option
Feeder ASSY. (Removal
43/Replacement 4)
END
Does the noise
arise from the printer?
Checked by [Digital
Output]-[DO-19] in [IOT
Diagnosis].
END
Checking the Option
Feeder Motor
If the option tray
attached
E

Table of Contents

Other manuals for Dell 3115CN

Related product manuals