EasyManua.ls Logo

Dell 3115CN - Page 332

Dell 3115CN
823 pages
Print Icon
To Next Page IconTo Next Page
To Next Page IconTo Next Page
To Previous Page IconTo Previous Page
To Previous Page IconTo Previous Page
Loading...
1‑306
Chapter 1 Troubleshooting
Version 1 2006.11.21
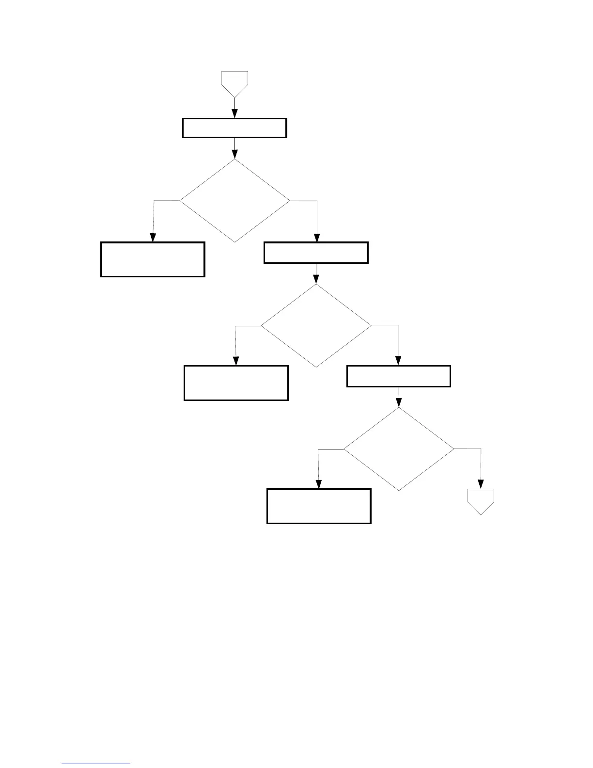
Checking the Main Motor
No
Yes
D
Try replacing the DRIVE
ASSY MAIN. (Removal
36/Replcement 10)
Does the noise
arise from the printer?
Checked by [Digital
Output]-[DO-0] in [IOT
Diagnosis].
Checking the Deve Motor.
No
Yes
Try replacing the DRIVE
ASSY MAIN. (Removal
36/Replcement 10)
Does the noise
arise from the printer?
Checked by [Digital
Output]-[DO-f] in [IOT
Diagnosis].
Checking the Sub Motor
No
Yes
Try replacing the DRIVE
ASSY MAIN. (Removal
36/Replcement 10)
Does the noise
arise from the printer?
Checked by [Digital
Output]-[DO-5] in [IOT
Diagnosis].
E

Table of Contents