EasyManua.ls Logo

Dell 3115CN - Page 46

Dell 3115CN
823 pages
Print Icon
To Next Page IconTo Next Page
To Next Page IconTo Next Page
To Previous Page IconTo Previous Page
To Previous Page IconTo Previous Page
Loading...
1‑20
Chapter 1 Troubleshooting
Version 1 2006.11.21
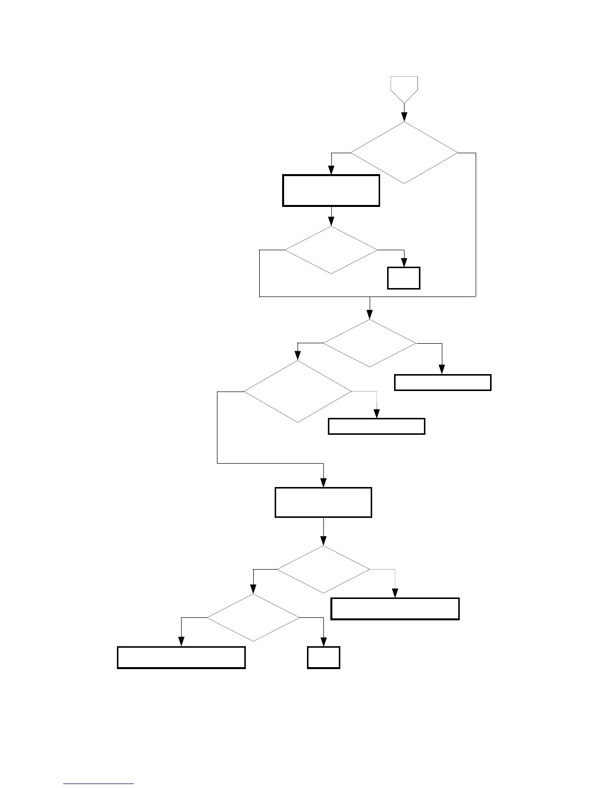
D
NoYes
Replace PWBA HYUI.
NoYes
Print the stored data
and select off the
secure receive
Does the error
occur?
No
END
Yes
No
Replace PWBA HYUI.
Yes
Checking the DM
prevention setting.
Is the DM prevention
on?
No
Analyze Protocol Monitor Report.
Yes
Is the number of
sending fax
registered?
No
Analyze Protocol Monitor Report.
END
Yes
Is a calling tone
present?
Is the [secure receive ]of
the [secure settings] on?
Is a modem sound
present at
transmission?

Table of Contents

Other manuals for Dell 3115CN

Related product manuals