EasyManua.ls Logo

Dell 3115CN - Page 128

Dell 3115CN
823 pages
Print Icon
To Next Page IconTo Next Page
To Next Page IconTo Next Page
To Previous Page IconTo Previous Page
To Previous Page IconTo Previous Page
Loading...
1‑102
Chapter 1 Troubleshooting
Version 1 2006.11.21
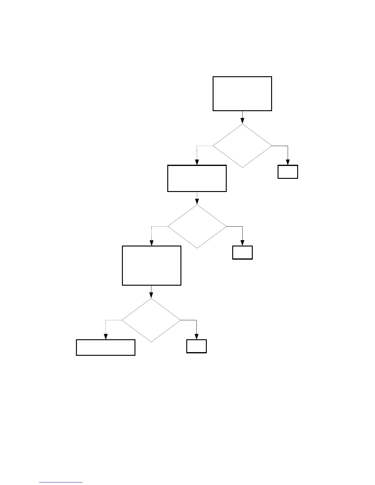
FIP-1. 18 Restart Printer 010-354
Does the error still
occur when turning
on the power?
NoYes
Possible causative parts:SENSOR HUM (PL13.5.11)
PWBA MCU (PL9.1.20)
Checking the SENSOR
HUM installation.
Reseat the SENSOR
HUM. (Removal 66/
Replacement 56)
END
Does the error still
occur when turning
on the power?
NoYes
Checking the PWBA
MCU installation
Reseat the PWBA
MCU. (RRP9.7)
END
Does the error still
occur when turning
on the power?
NoYes
Replace the PWBA
MCU. (RRP9.7)
END
Checking the after
replacing the SENSOR
HUM.
Replace the SENSOR
HUM. (Removal 66/
Replacement 56)

Table of Contents

Other manuals for Dell 3115CN

Related product manuals